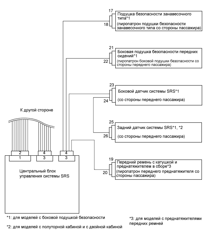
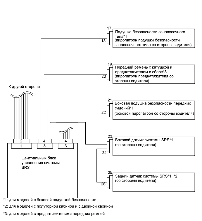
СИСТЕМА ПОДУШЕК БЕЗОПАСНОСТИ СИСТЕМА ДИАГНОСТИКИ


  1. ИМИТАЦИЯ УСЛОВИЙ ВОЗНИКНОВЕНИЯ НЕИСПРАВНОСТИ

    A01E0BUE19

    Tech Tips

    Наиболее сложно отыскать неисправность, если признаки неисправности отсутствуют. В таких случаях необходимо выполнить тщательный анализ неисправности. Следует создать в автомобиле клиента аналогичные или схожие условия, при которых возникла неисправность. Если специалист приступает к поиску неисправностей, не подтверждая их признаки, то, независимо от его опыта и квалификации, это может привести пропуску важных операций ремонта, ошибкам и задержкам.


    1. Метод применения вибрации: В тех случаях, когда предполагается, что основной причиной неисправности является вибрация.

      Tech Tips

      Применять метод проверки с имитацией условий возникновения неисправности следует только во время первичной проверки (примерно 6 с после включения зажигания).


      1. Пальцем слегка потрясите деталь датчика, которая, по предположению, неисправна, и проверьте, возникает ли неисправность.

        Note

        Воздействие сильной вибрации на реле может привести к размыканию контактов.

      2. Слегка встряхните разъем в вертикальном и горизонтальном положениях.

      3. Слегка встряхните жгут проводов по вертикали и горизонтали.

        Tech Tips

        Тщательно проверяйте соединения разъема и точки, подвергающиеся действию вибрации.

  2. ФУНКЦИОНИРОВАНИЕ КОНТРОЛЬНОЙ ЛАМПЫ АВАРИЙНОГО СОСТОЯНИЯ SRS


    1. Первичная проверка.


      1. Поверните замок зажигания в положение OFF (ВЫКЛ). Подождите не менее 2 секунд, а затем включите зажигание. Контрольная лампа аварийного состояния SRS загорается примерно на 6 секунд, в течение которых выполняется диагностика системы подушек безопасности (включая преднатяжители ремней безопасности).

        Tech Tips

        В случае обнаружения неисправности во время первичной проверки контрольная лампа аварийного состояния SRS будет гореть и после завершения проверки (которая займет примерно 6 секунд).

    2. Непрерывная проверка.


      1. После завершения первичной проверки центральный блок управления системы SRS непрерывно контролирует систему SRS на наличие неисправностей.

        Tech Tips

        При обнаружении неисправности во время непрерывной проверки центральный блок управления системы SRS выполняет следующие действия:


        • Загорается контрольная лампа аварийного состояния SRS.

        • Контрольная лампа аварийного состояния SRS гаснет, а затем загорается. Такая схема мигания свидетельствует об уменьшении напряжения на источнике питания. Через 10 секунд после восстановления рабочего напряжения питания контрольная лампа аварийного состояния SRS выключается.

    3. Просмотр.


      1. Если система подушек безопасности SRS работает нормально:

        Контрольная лампа аварийного состояния SRS загорается только на время выполнения первичной проверки (примерно на 6 секунд после включения зажигания).

      2. Если система подушек безопасности SRS неисправна:


        • Контрольная лампа аварийного состояния SRS продолжает гореть после завершения первичной проверки.

        • Контрольная лампа аварийного состояния SRS гаснет после завершения первичной проверки, но загорается во время непрерывной проверки.

        • Контрольная лампа аварийного состояния SRS не загорается при повороте замка зажигания из положения OFF (ВЫКЛ) в положение ON (ВКЛ).

        Tech Tips

        В случае развертывания подушки безопасности центральный блок управления системы SRS поддерживает контрольную лампу аварийного состояния SRS в горящем состоянии.

  3. ПРОВЕРЬТЕ КОНТРОЛЬНУЮ ЛАМПУ АВАРИЙНОГО СОСТОЯНИЯ SRS

    A01E0CKE06

    1. Включите зажигание и проверьте, включилась ли контрольная лампа аварийного состояния SRS примерно на 6 секунд (первичная проверка).

    2. Убедитесь в том, что контрольная лампа аварийного состояния SRS включается примерно на 6 секунд (непрерывная проверка) после включения зажигания.

      Tech Tips

      При появлении следующих признаков см. "Таблицу признаков неисправностей" (см. стр. Click here).


      • Контрольная лампа аварийного состояния SRS периодически включается после завершения первичной проверки.

      • Контрольная лампа аварийного состояния SRS горит, но коды DTC не выводятся.

      • При повороте замка зажигания из положения OFF (ВЫКЛ) в положение ON (ВКЛ) контрольная лампа аварийного состояния SRS не загорается.

  4. МЕХАНИЗМ ПРЕДОТВРАЩЕНИЯ СРАБАТЫВАНИЯ


    1. ФУНКЦИОНИРОВАНИЕ МЕХАНИЗМА ПРЕДОТВРАЩЕНИЯ СРАБАТЫВАНИЯ


      1. Механизм предотвращения срабатывания подушки безопасности встроен в разъем цепи пиропатрона (со стороны центрального блока управления системы SRS) во избежание случайного срабатывания подушки безопасности.

      2. При разъединении разъема данный механизм замыкает цепь посредством введения в контакт короткой пружины и контактов и отключения внешнего питания во избежание случайного срабатывания подушки безопасности.

    2. ВЫКЛЮЧЕНИЕ МЕХАНИЗМА ПРЕДОТВРАЩЕНИЯ СРАБАТЫВАНИЯ


      1. Чтобы освободить механизм предотвращения срабатывания, вставьте между контактом и короткой пружиной кусок бумаги такой же толщины, что и контакт вилки (примерно 0,5 мм (0,02 дюйма)) для разрыва соединения.

      2. На рисунках ниже приводятся разъемы, применяемые в механизме предотвращения срабатывания, а также методы их освобождения.

        CAUTION:

        Ни в коем случае не освобождайте механизм предотвращения срабатывания подушки безопасности на разъеме пиропатрона даже при проверке отсоединенного пиропатрона.

        Note


        • Освобождать механизм предотвращения срабатывания подушки безопасности следует только в том случае, если это прямо указано в процедуре поиска неисправностей.

        • Во избежание повреждения контакта и короткой пружины всегда вставляйте кусок бумаги такой же толщины, что и контакты вилки.

        A01DW7NE07
        A01E1OCE05
        A01DYL6E05
        A01E20PE05