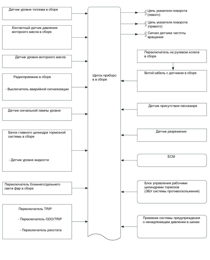
СИСТЕМА ИЗМЕРИТЕЛЬНЫХ ПРИБОРОВ И ИНДИКАТОРОВ ОБЩАЯ СХЕМА СИСТЕМЫ

Figure 1. Сигналы прямого соединения
Y194418E01
Y194419E01
Figure 2. Сетевой сигнал (шина 4, шина 5)
Y188934E02
Figure 3. Сетевой сигнал (шина 5, вспомогательная шина 1)
Y188933E02
Figure 4. Сетевой сигнал (шина 1, шина 5)
Y191712E01
Figure 5. Сетевой сигнал (шина 2, шина 3, шина 5)
Y188936E04
Figure 6. Индикация на ветровом стекле
Y189955E02