СИСТЕМА ПОДУШЕК БЕЗОПАСНОСТИ АРХИВНЫЕ ДАННЫЕ УПРАВЛЕНИЯ АВТОМОБИЛЕМ

  1. Обзор функции

    1. Архивирование данных об управлении автомобилем представляет собой функцию, которая записывает данные об управлении (данные регистрации), срабатывая при определенном поведении автомобиля. При отсутствии кодов DTC, соответствующих предоставленной клиентом информации, проверка архивных данных об управлении автомобилем позволяет получить некоторое количество диагностической информации, и такие архивные данные можно использовать как базу для последующей диагностики неисправностей.

    2. Архивные данные об управлении автомобилем записываются в различные области памяти, определяемые инициирующей группой, при этом в общей сложности можно сохранить до 140 элементов данных. Когда место в памяти заканчивается, производится удаление данных из соответствующих областей памяти, начиная с наиболее старых данных, и вместо них сохраняются новые данные.

    3. При каждом срабатывании поступает информация о времени от главного ЭБУ кузова (о времени, прошедшем с момента перевода выключателя питания в состояние ON (ВКЛ) (IG)) или системы навигации* (об абсолютном времени).

      • *: только для систем навигации, устанавливаемых на заводе-изготовителе (по заказу для завода-изготовителя)

    4. Данные сохраняются в EEPROM блока управления системы SRS в сборе. Архивные данные об управлении автомобилем не пропадают даже в случае отсоединения отрицательного (-) вывода аккумуляторной батареи. Кроме того, эти данные нельзя удалить с помощью GTS.

  2. Замечания по использованию

    1. Архивные данные об управлении автомобилем используются в качестве вспомогательной информация во время диагностики неисправностей для каждой системы и не позволяют определить фактическую причину неисправности.

    2. Оценка каждого инициирующего условия осуществляется на основе сигналов от датчиков и исполнительных механизмов (опознавательных сигналов каждого ЭБУ). Таким образом, при использовании архивных данных об управлении автомобилем обязательно проверяйте и регулируйте системы, относящиеся к каждому инициирующему условию.

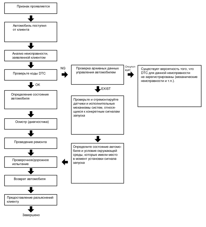
      Основная блок-схема

      C296999E03
  3. Инициирующее условие

    1. Подключите GTS к DLC3.

    2. Включите питание (IG).

    3. Войдите в следующие меню GTS: Body Electrical / SRS Airbag / Utility / Vehicle Control History.

      Body Electrical > SRS Airbag > Utility

      Информация на дисплее прибора

      Vehicle Control History

      Table 1. Таблица инициирующих условий

      Связанные системы

      Область хранения группы (лимит хранения)

      Название инициирующего условия

      Описание инициирующего условия

      Примечания

      Система управления двигателем/система управления гибридной системой/автоматическая трансмиссия

      Зона 2

      (примерно 42 моментов)

      Высокий уровень сигнала угла поворота педали акселератора при низкой частоте вращения

      Сигнал верхнего положения педали акселератора сохраняется в течение некоторого периода времени в диапазоне низких частот вращения.

      -

      Высокий уровень сигнала угла поворота педали акселератора сразу после отпускания педали тормоза

      В диапазоне низких частот вращения после перехода из состояния торможения в состояние отпускания педалей тормоза и акселератора принимается сигнал верхнего положения педали акселератора.

      -

      Зона 7

      (примерно 12 моментов)

      Верхнее положение педали акселератора при средней или высокой частоте вращения

      Сигнал верхнего положения педали акселератора сохраняется в течение некоторого периода времени в диапазоне средних и высоких частот вращения.

      -

      Система управления двигателем/система управления гибридной системой/автоматическая трансмиссия

      Зона 3

      (примерно 40 моментов)

      Угол поворота педали акселератора не меньше среднего сразу после переключения в положение R

      В диапазоне низких частот вращения сразу после перемещения рычага переключения передач в положение R во время действия сигнала нижнего положения педали акселератора принимается сигнал среднего/верхнего положения педали акселератора.

      За исключением гибридных автомобилей

      Угол поворота педали акселератора не меньше среднего сразу после переключения в положение переднего хода

      В диапазоне низких частот вращения сразу после перемещения рычага переключения передач в положение переднего хода (не в положение P, N или R) во время действия сигнала нижнего положения педали акселератора принимается сигнал среднего/верхнего положения педали акселератора.

      За исключением гибридных автомобилей

      Угол поворота педали акселератора не меньше среднего сразу после переключения в положение движения

      В диапазоне низких скоростей сразу после перемещения рычага переключения передач в положение движения (не в положение P или N) во время действия сигнала нижнего положения педали акселератора принимается сигнал среднего/верхнего положения педали акселератора.

      Только для гибридных автомобилей

      Получение сигнала положения R во время поступления сигнала среднего/верхнего положения педали акселератора

      Сигнал среднего/верхнего положения педали акселератора при нахождении рычага переключения передач в положении R сохраняется в течение некоторого периода времени после перевода рычага переключения передач в положение R во время действия сигнала среднего/верхнего положения педали акселератора.

      За исключением гибридных автомобилей

      Получение сигнала положения переднего хода во время поступления сигнала среднего/верхнего положения педали акселератора

      Сигнал среднего/верхнего положения педали акселератора сохраняется в течение некоторого периода времени во время нахождения в положении переднего хода (не в положении P, N или R) после переключения в положение переднего хода (в положение помимо P, N и R) во время действия сигнала среднего/верхнего положения педали акселератора.

      За исключением гибридных автомобилей

      Система управления двигателем/система управления гибридной системой/автоматическая трансмиссия

      Зона 3

      (примерно 40 моментов)

      Получение сигнала положения движения во время поступления сигнала среднего/верхнего положения педали акселератора

      Во время действия сигнала среднего/верхнего положения педали акселератора рычаг переключения передач перемещается в положение движения (в положение помимо P и N).

      Только для гибридных автомобилей

      Одновременное поступление сигналов тормоза и педали акселератора

      В течение некоторого времени одновременно сохраняются сигнал среднего/верхнего положения педали акселератора и сигнал торможения.

      -

      Поступление сигнала среднего/верхнего положения педали акселератора после переключения в положение D или R

      Рычаг переключения передач перемещается в положение D (или R) во время действия сигнала нижнего положения педали акселератора после перемещения рычага переключения передач в положение R (или D). После этого поступает сигнал среднего/верхнего положения педали акселератора.

      -

      Поступление сигнала среднего или верхнего положения педали акселератора в положении N

      В диапазоне низких частот вращения после перемещения рычага переключения передач в положение N поступает сигнал среднего/верхнего положения педали акселератора.

      -

      Система управления тормозами

      Зона 5

      (примерно 5 моментов)

      Данные о работе VSC

      Когда начинает работу VSC.

      Только для автомобилей с VSC

      Данные о работе TRC

      Когда начинает работу TRC.

      Только для автомобилей с TRC

      Данные о работе АБС

      Когда начинает работу АБС.

      -

      Зона 1

      (примерно 4 моментов)

      Данные об экстренном торможении

      Определяют продольную составляющую ускорения, превышающую заданный уровень.

      Только для автомобилей с VSC

      Данные о внезапном повороте

      Определяют боковую составляющую ускорения, превышающую заданный уровень.

      Только для автомобилей с VSC

      Круиз-контроль

      Зона 4

      (примерно 15 моментов)

      Высокий уровень сигнала угла поворота педали акселератора в режиме круиз-контроля

      В режиме круиз-контроля в течение некоторого периода времени сохраняется сигнал верхнего положения педали акселератора.

      Только для автомобилей с системой круиз-контроля

      Предаварийная система безопасности

      Зона 6

      (примерно 6 моментов)

      Данные о работе PCS (о работе предупредительного зуммера)

      Срабатывает PCS (предупредительный зуммер).

      Только для автомобилей с PCS

      Данные о работе PCS (предупреждении тормозной системы)

      Срабатывает PCS (сигнализация тормозной системы).

      Только для автомобилей с PCS (для моделей с камерой контроля водителя)

      Данные о работе PCS (предаварийного усилителя экстренного торможения)

      Срабатывает PCS (усиление экстренного торможения PCS).

      Только для автомобилей с PCS

      Данные о работе PCS (предварительном торможении)

      Срабатывает PCS (заблаговременное торможение).

      Только для автомобилей с PCS

      Данные о работе PCS (предаварийном включении тормозов)

      Срабатывает PCS (торможение PCS).

      Только для автомобилей с PCS

      Данные о работе PCS (предаварийном приведении в действие ремней безопасности)

      Срабатывает PCS (предаварийное приведение в действие ремней безопасности PCS).

      Только для автомобилей с PCS

      Данные о работе PCS (работа предварительного нагнетания)

      Срабатывает PCS (ожидание усилителя экстренного торможения PCS).

      Только для автомобилей с PCS

      Данные о работе PCS (работа PBR)

      Срабатывает PCS (включение стоп-сигналов).

      Только для автомобилей с PCS

      Данные о работе PCS (работа PBH)

      Срабатывает PCS (поддержание тормозного усилия после срабатывания).

      Только для автомобилей с PCS

      Данные о работе PCS (поддержка при уклонении)

      Срабатывает PCS (уклонение от столкновения).

      Только для автомобилей с PCS

      Данные о работе PCS (регистрации ускорения выше заданной величины)

      Регистрируется продольная составляющая ускорения, превышающая определенную величину.

      Только для автомобилей с PCS

      Система предупреждения об уходе с полосы/система помощи при движении по полосе

      Зона 8

      (примерно 6 моментов)

      Во время работы LKA/LDA регистрируется сигнал датчика крутящего момента, превышающий заданный уровень

      При включенной системе LKA/LDA регистрируется сигнал датчика крутящего момента, превышающий заданный уровень.

      Только для автомобилей с LKA/LDA (с участием рулевого управления)

      Интеллектуальная система ультразвуковой локации

      Зона 9

      (примерно 6 моментов)

      Архивные данные о работе ICS (ограничение выходной мощности)

      ICS (ограничение выходной мощности) работает.

      Только для автомобилей с ICS

      Архивные данные о работе ICS (ограничение максимальной выходной мощности)

      ICS (ограничение максимальной выходной мощности) работает.

      Только для автомобилей с ICS

      Архивные данные о работе ICS (система управления тормозами)

      ICS (система управления тормозами) работает.

      Только для автомобилей с ICS

      Архивные данные о работе ICS (остановка)

      ICS (остановка автомобиля) работает.

      Только для автомобилей с ICS

      Архивные данные о работе ICS (возврат)

      ICS (возврат) работает.

      Только для автомобилей с ICS

      Архивные данные о работе ICS (временно не доступна)

      ICS временно не доступна.

      Только для автомобилей с ICS

  4. Элементы данные регистрации

    1. Когда регистрируется инициирующее условие, одновременно в качестве данных регистрации сохраняются состояния автомобиля (данные ЭБУ) до и после инициирующего условия.

    2. Время регистрации и данные регистрации для разных инициирующих условий различаются.

      Когда "PCS/ICS Operation History" отсутствует

      C296997E06

      Когда "PCS/ICS Operation History"

      C296998E09
      Table 2. Характеристики регистрируемых данных

      Инициирующее условие

      Данные регистрации

      До регистрации

      После регистрации

      Период дискретизации (с)

      Идент. ном.

      Параметр

      Время записи (с)

      Число точек

      Время записи (с)

      Число точек

      2

      Высокий уровень сигнала угла поворота педали акселератора при низкой частоте вращения

      7,5

      15

      7,5

      16

      0.5

      3

      Верхнее положение педали акселератора при средней или высокой частоте вращения

      7,5

      15

      7,5

      16

      0,5

      4

      Высокий уровень сигнала угла поворота педали акселератора сразу после отпускания педали тормоза

      7,5

      15

      7,5

      16

      0,5

      5-1

      Угол поворота педали акселератора не меньше среднего сразу после переключения в положение R

      5

      10

      5

      11

      0,5

      5-2

      Угол поворота педали акселератора не меньше среднего сразу после переключения в положение переднего хода

      5-3

      Угол поворота педали акселератора не меньше среднего сразу после переключения в положение движения

      6-1

      Получение сигнала положения R во время поступления сигнала среднего/верхнего положения педали акселератора

      5

      10

      5

      11

      0,5

      6-2

      Получение сигнала положения переднего хода во время поступления сигнала среднего/верхнего положения педали акселератора

      6-3

      Получение сигнала положения движения во время поступления сигнала среднего/верхнего положения педали акселератора

      8

      Одновременное поступление сигналов тормоза и педали акселератора

      5

      10

      5

      11

      0,5

      9

      Поступление сигнала среднего/верхнего положения педали акселератора после переключения в положение D или R

      5

      10

      5

      11

      0,5

      10

      Поступление сигнала среднего или верхнего положения педали акселератора в положении N

      5

      10

      5

      11

      0,5

      12

      Данные о работе VSC

      5

      34

      5

      35

      0,15

      13

      Данные о работе TRC

      5

      34

      5

      35

      0,15

      14

      Данные о работе АБС

      5

      34

      5

      35

      0,15

      15

      Данные об экстренном торможении

      5

      34

      5

      35

      0,15

      16

      Данные о внезапном повороте

      5

      34

      5

      35

      0,15

      17

      Высокий уровень сигнала угла поворота педали акселератора в режиме круиз-контроля

      5

      10

      5

      11

      0,5

      18-1

      Данные о работе PCS (о работе предупредительного зуммера)

      5

      10

      4

      9

      0.5

      18-2

      Данные о работе PCS (предупреждении тормозной системы)

      18-3

      Данные о работе PCS (предаварийного усилителя экстренного торможения)

      18-4

      Данные о работе PCS (предварительном торможении)

      18-5

      Данные о работе PCS (предаварийном включении тормозов)

      18-6

      Данные о работе PCS (предаварийном приведении в действие ремней безопасности)

      18-7

      Данные о работе PCS (работа предварительного нагнетания)

      18-8

      Данные о работе PCS (работа PBR)

      18-9

      Данные о работе PCS (работа PBH)

      18-10

      Данные о работе PCS (поддержка при уклонении)

      18-11

      Данные о работе PCS (регистрации ускорения выше заданной величины)

      19

      Во время работы LKA/LDA регистрируется сигнал датчика крутящего момента, превышающий заданный уровень

      8

      40

      0

      1

      0,2

      20-1

      Архивные данные о работе ICS (ограничение выходной мощности)

      5

      10

      5

      11

      0.5

      20-2

      Архивные данные о работе ICS (ограничение максимальной выходной мощности)

      20-3

      Архивные данные о работе ICS (система управления тормозами)

      20-4

      Архивные данные о работе ICS (остановка)

      20-5

      Архивные данные о работе ICS (возврат)

      20-6

      Архивные данные о работе ICS (временно не доступна)

      Table 3. Таблица данных регистрации

      Название

      Идент. ном. инициирующего условия

      Скорость автомобиля

      2, 4, 3, 5-1, 5-2, 5-3, 6-1, 6-2, 6-3, 8, 9, 10, 12, 13, 14, 15, 16, 17, 18-1, 18-2, 18-3, 18-4, 18-5, 18-6, 18-7, 18-8, 18-9, 18-10, 18-11, 19, 20-1, 20-2, 20-3, 20-4, 20-5, 20-6

      Accelerator Opening Ratio

      2, 4, 3, 5-1, 5-2, 5-3, 6-1, 6-2, 6-3, 8, 9, 10, 12, 13, 14, 15, 16, 17, 18-1, 18-2, 18-3, 18-4, 18-5, 18-6, 18-7, 18-8, 18-9, 18-10, 18-11, 19, 20-1, 20-2, 20-3, 20-4, 20-5, 20-6

      Engine RPM Data

      2, 4, 3, 5-1, 5-2, 5-3, 6-1, 6-2, 6-3, 8, 9, 10, 12, 13, 14, 15, 16, 17, 18-1, 18-2, 18-3, 18-4, 18-5, 18-6, 18-7, 18-8, 18-9, 18-10, 18-11, 19, 20-1, 20-2, 20-3, 20-4, 20-5, 20-6

      Cruise Control

      2, 4, 3, 5-1, 5-2, 5-3, 6-1, 6-2, 6-3, 8, 9, 10, 12, 13, 14, 15, 16, 17, 18-1, 18-2, 18-3, 18-4, 18-5, 18-6, 18-7, 18-8, 18-9, 18-10, 18-11, 19, 20-1, 20-2, 20-3, 20-4, 20-5, 20-6

      Сигнал положения рычага переключения передач

      2, 4, 3, 5-1, 5-2, 5-3, 6-1, 6-2, 6-3, 8, 9, 10, 12, 13, 14, 15, 16, 17, 18-1, 18-2, 18-3, 18-4, 18-5, 18-6, 18-7, 18-8, 18-9, 18-10, 18-11, 19, 20-1, 20-2, 20-3, 20-4, 20-5, 20-6

      Brake SW

      2, 4, 3, 5-1, 5-2, 5-3, 6-1, 6-2, 6-3, 8, 9, 10, 12, 13, 14, 15, 16, 17, 18-1, 18-2, 18-3, 18-4, 18-5, 18-6, 18-7, 18-8, 18-9, 18-10, 18-11, 19, 20-1, 20-2, 20-3, 20-4, 20-5, 20-6

      Brake Oil Pressure

      2, 4, 3, 5-1, 5-2, 5-3, 6-1, 6-2, 6-3, 8, 9, 10, 12, 13, 14, 15, 16, 17, 18-1, 18-2, 18-3, 18-4, 18-5, 18-6, 18-7, 18-8, 18-9, 18-10, 18-11, 19, 20-1, 20-2, 20-3, 20-4, 20-5, 20-6

      Yaw Rate Sensor Signal

      2, 4, 3, 5-1, 5-2, 5-3, 6-1, 6-2, 6-3, 8, 9, 10, 12, 13, 14, 15, 16, 17, 18-1, 18-2, 18-3, 18-4, 18-5, 18-6, 18-7, 18-8, 18-9, 18-10, 18-11, 19, 20-1, 20-2, 20-3, 20-4, 20-5, 20-6

      Longitudinal G Sensor Signal

      2, 4, 3, 5-1, 5-2, 5-3, 6-1, 6-2, 6-3, 8, 9, 10, 12, 13, 14, 15, 16, 17, 18-1, 18-2, 18-3, 18-4, 18-5, 18-6, 18-7, 18-8, 18-9, 18-10, 18-11, 19, 20-1, 20-2, 20-3, 20-4, 20-5, 20-6

      Lateral G Sensor Signal

      2, 4, 3, 5-1, 5-2, 5-3, 6-1, 6-2, 6-3, 8, 9, 10, 12, 13, 14, 15, 16, 17, 18-1, 18-2, 18-3, 18-4, 18-5, 18-6, 18-7, 18-8, 18-9, 18-10, 18-11, 19, 20-1, 20-2, 20-3, 20-4, 20-5, 20-6

      Throttle Opening Ratio

      2, 4, 3, 5-1, 5-2, 5-3, 6-1, 6-2, 6-3, 8, 9, 10, 12, 13, 14, 15, 16, 17, 18-1, 18-2, 18-3, 18-4, 18-5, 18-6, 18-7, 18-8, 18-9, 18-10, 18-11, 19, 20-1, 20-2, 20-3, 20-4, 20-5, 20-6

      Command Value of Fuel Injection Amount

      2, 4, 3, 5-1, 5-2, 5-3, 6-1, 6-2, 6-3, 8, 9, 10, 12, 13, 14, 15, 16, 17, 18-1, 18-2, 18-3, 18-4, 18-5, 18-6, 18-7, 18-8, 18-9, 18-10, 18-11, 19, 20-1, 20-2, 20-3, 20-4, 20-5, 20-6

      Steering Signal

      2, 4, 3, 5-1, 5-2, 5-3, 6-1, 6-2, 6-3, 8, 9, 10, 12, 13, 14, 15, 16, 17, 18-1, 18-2, 18-3, 18-4, 18-5, 18-6, 18-7, 18-8, 18-9, 18-10, 18-11, 19, 20-1, 20-2, 20-3, 20-4, 20-5, 20-6

      ICS Received Data Invalid Flag

      20-1, 20-2, 20-3, 20-4, 20-5, 20-6

      ICS Trigger Flag

      20-1, 20-2, 20-3, 20-4, 20-5, 20-6

      ICS Temporarily Not Available (Dirt)

      20-1, 20-2, 20-3, 20-4, 20-5, 20-6

      ICS Temporarily Not Available (Low Voltage)

      20-1, 20-2, 20-3, 20-4, 20-5, 20-6

      ICS Request Driving Force Control Flag

      20-1, 20-2, 20-3, 20-4, 20-5, 20-6

      ICS Request Braking Control Flag

      20-1, 20-2, 20-3, 20-4, 20-5, 20-6

      ICS Controlled Object Distance

      20-1, 20-2, 20-3, 20-4, 20-5, 20-6

      ICS Controlled Object 1 Position (X)

      20-1, 20-2, 20-3, 20-4, 20-5, 20-6

      ICS Controlled Object 1 Position (Y)

      20-1, 20-2, 20-3, 20-4, 20-5, 20-6

      ICS Recognition Sensor (Controlled Object 1)

      20-1, 20-2, 20-3, 20-4, 20-5, 20-6

      ICS Recognition Level (Controlled Object 1)

      20-1, 20-2, 20-3, 20-4, 20-5, 20-6

      ICS Controlled Object 2 Position (X)

      20-1, 20-2, 20-3, 20-4, 20-5, 20-6

      ICS Controlled Object 2 Position (Y)

      20-1, 20-2, 20-3, 20-4, 20-5, 20-6

      ICS Recognition Sensor (Controlled Object 2)

      20-1, 20-2, 20-3, 20-4, 20-5, 20-6

      ICS Recognition Level (Controlled Object 2)

      20-1, 20-2, 20-3, 20-4, 20-5, 20-6

      ICS Controlled Object 3 Position (X)

      20-1, 20-2, 20-3, 20-4, 20-5, 20-6

      ICS Controlled Object 3 Position (Y)

      20-1, 20-2, 20-3, 20-4, 20-5, 20-6

      ICS Recognition Sensor (Controlled Object 3)

      20-1, 20-2, 20-3, 20-4, 20-5, 20-6

      ICS Recognition Level (Controlled Object 3)

      20-1, 20-2, 20-3, 20-4, 20-5, 20-6

      Power Train Mode

      2, 4, 3, 5-1, 5-2, 5-3, 6-1, 6-2, 6-3, 8, 9, 10, 12, 13, 15, 16

      SNOW Mode

      2, 4, 3, 5-1, 5-2, 5-3, 6-1, 6-2, 6-3, 8, 9, 10, 12, 13, 15, 16

      Valid/Invalid of Driving Mode

      2, 4, 3, 5-1, 5-2, 5-3, 6-1, 6-2, 6-3, 8, 9, 10, 12, 13, 15, 16

      VSC OFF Lamp

      2, 4, 3, 5-1, 5-2, 5-3, 6-1, 6-2, 6-3, 8, 9, 10, 12, 13, 15, 16

      TRC OFF Lamp

      2, 4, 3, 5-1, 5-2, 5-3, 6-1, 6-2, 6-3, 8, 9, 10, 12, 13, 15, 16

      Valid/Invalid of TRC/VSC OFF Lamp

      2, 4, 3, 5-1, 5-2, 5-3, 6-1, 6-2, 6-3, 8, 9, 10, 12, 13, 15, 16

      EV Mode

      2, 4, 3, 5-1, 5-2, 5-3, 6-1, 6-2, 6-3, 8, 9, 10, 12, 13, 15, 16

      Valid/Invalid of EV Mode

      2, 4, 3, 5-1, 5-2, 5-3, 6-1, 6-2, 6-3, 8, 9, 10, 12, 13, 15, 16

      Shift Gear

      2, 4, 3, 5-1, 5-2, 5-3, 6-1, 6-2, 6-3, 8, 9, 10, 12, 13, 15, 16

      Engine Load Factor

      2, 4, 3, 5-1, 5-2, 5-3, 6-1, 6-2, 6-3, 8, 9, 10

      READY Signal

      2, 4, 3, 5-1, 5-2, 5-3, 6-1, 6-2, 6-3, 8, 9, 10, 12, 13, 15, 16

      Gear Position Signal

      2, 4, 3, 5-1, 5-2, 5-3, 6-1, 6-2, 6-3, 8, 9, 10, 15, 16

      Turbine RPM/Input Shaft RPM

      2, 4, 3, 5-1, 5-2, 5-3, 6-1, 6-2, 6-3, 8, 9, 10, 15, 16

      Under VSC Control

      12, 13, 14, 15, 16

      Under ABS Control

      12, 13, 14, 15, 16

      Under VDM Control

      12, 13, 14, 15, 16

      Under TRC Operation Flag

      12, 13, 14, 15, 16

      FR Wheel Speed

      12, 13, 14, 15, 16

      FL Wheel Speed

      12, 13, 14, 15, 16

      RR Wheel Speed

      12, 13, 14, 15, 16

      RL Wheel Speed

      12, 13, 14, 15, 16

      Cruise System

      17

      Driving Force Demand Judgment Flag

      17

      Cruise Control Master Switch Flag

      17

      DSS Judgment Flag

      17

      Cruise Control Res/Accel SW

      17

      Cruise Control Set/Coast SW

      17

      Cruise Control Cancel SW

      17

      Cruise Control Brake SW

      17

      Cruise Control D Signal

      17

      Cruise Control Main SW

      17

      Cruise Control Set Speed

      17

      Vehicle Speed (during Cruise Control)

      17

      Cruise Control Request Value

      17

      ACC Target Distance

      17

      ACC Target Condition

      17

      ACC Relative Speed

      17

      PCS Reception Data Invalid Flag

      18-1, 18-2, 18-3, 18-4, 18-5, 18-6, 18-7, 18-8, 18-9, 18-10, 18-11

      ALM Request Flag 2

      18-1, 18-2, 18-3, 18-4, 18-5, 18-6, 18-7, 18-8, 18-9, 18-10, 18-11

      ALM Request Flag

      18-1, 18-2, 18-3, 18-4, 18-5, 18-6, 18-7, 18-8, 18-9, 18-10, 18-11

      ABK Request Flag

      18-1, 18-2, 18-3, 18-4, 18-5, 18-6, 18-7, 18-8, 18-9, 18-10, 18-11

      PBA Request Flag

      18-1, 18-2, 18-3, 18-4, 18-5, 18-6, 18-7, 18-8, 18-9, 18-10, 18-11

      FPB Request Flag

      18-1, 18-2, 18-3, 18-4, 18-5, 18-6, 18-7, 18-8, 18-9, 18-10, 18-11

      PB Request Flag

      18-1, 18-2, 18-3, 18-4, 18-5, 18-6, 18-7, 18-8, 18-9, 18-10, 18-11

      PSB Request Flag

      18-1, 18-2, 18-3, 18-4, 18-5, 18-6, 18-7, 18-8, 18-9, 18-10, 18-11

      Prefill Request Flag

      18-1, 18-2, 18-3, 18-4, 18-5, 18-6, 18-7, 18-8, 18-9, 18-10, 18-11

      Stop Lamp Lighting Request Flag

      18-1, 18-2, 18-3, 18-4, 18-5, 18-6, 18-7, 18-8, 18-9, 18-10, 18-11

      PCS Brake Hold Request Flag

      18-1, 18-2, 18-3, 18-4, 18-5, 18-6, 18-7, 18-8, 18-9, 18-10, 18-11

      Collision Avoidance Assist Request Flag 1

      18-1, 18-2, 18-3, 18-4, 18-5, 18-6, 18-7, 18-8, 18-9, 18-10, 18-11

      Collision Avoidance Assist Request Flag 2

      18-1, 18-2, 18-3, 18-4, 18-5, 18-6, 18-7, 18-8, 18-9, 18-10, 18-11

      Collision Avoidance Assist Request Flag 3

      18-1, 18-2, 18-3, 18-4, 18-5, 18-6, 18-7, 18-8, 18-9, 18-10, 18-11

      PCS SW

      18-1, 18-2, 18-3, 18-4, 18-5, 18-6, 18-7, 18-8, 18-9, 18-10, 18-11

      PCS Display (Diag Condition)

      18-1, 18-2, 18-3, 18-4, 18-5, 18-6, 18-7, 18-8, 18-9, 18-10, 18-11

      PCS Display (Milli Wave Dirt)

      18-1, 18-2, 18-3, 18-4, 18-5, 18-6, 18-7, 18-8, 18-9, 18-10, 18-11

      PCS Display (Temporarily not available)

      18-1, 18-2, 18-3, 18-4, 18-5, 18-6, 18-7, 18-8, 18-9, 18-10, 18-11

      PCS Display (Sensor Recognition Status)

      18-1, 18-2, 18-3, 18-4, 18-5, 18-6, 18-7, 18-8, 18-9, 18-10, 18-11

      PCS Display (Milli-Meter Wave Radar Low Voltage Status)

      18-1, 18-2, 18-3, 18-4, 18-5, 18-6, 18-7, 18-8, 18-9, 18-10, 18-11

      PCS Display (Camera Backlight Status)

      18-1, 18-2, 18-3, 18-4, 18-5, 18-6, 18-7, 18-8, 18-9, 18-10, 18-11

      PCS Display (Milli-Meter Wave Radar Alignment Flag)

      18-1, 18-2, 18-3, 18-4, 18-5, 18-6, 18-7, 18-8, 18-9, 18-10, 18-11

      PCS Display (Object Recognition Status)

      18-1, 18-2, 18-3, 18-4, 18-5, 18-6, 18-7, 18-8, 18-9, 18-10, 18-11

      PCS Display (Control Status 1)

      18-1, 18-2, 18-3, 18-4, 18-5, 18-6, 18-7, 18-8, 18-9, 18-10, 18-11

      PCS Display (Control Status 2)

      18-1, 18-2, 18-3, 18-4, 18-5, 18-6, 18-7, 18-8, 18-9, 18-10, 18-11

      Расстояние до мишени

      18-1, 18-2, 18-3, 18-4, 18-5, 18-6, 18-7, 18-8, 18-9, 18-10, 18-11

      Target Relative Velocity

      18-1, 18-2, 18-3, 18-4, 18-5, 18-6, 18-7, 18-8, 18-9, 18-10, 18-11

      Target Lateral Position

      18-1, 18-2, 18-3, 18-4, 18-5, 18-6, 18-7, 18-8, 18-9, 18-10, 18-11

      Target Object Number

      18-1, 18-2, 18-3, 18-4, 18-5, 18-6, 18-7, 18-8, 18-9, 18-10, 18-11

      Relative Acceleration for Control Target

      18-1, 18-2, 18-3, 18-4, 18-5, 18-6, 18-7, 18-8, 18-9, 18-10, 18-11

      Predicted Time to Collision 1 for Control Target

      18-1, 18-2, 18-3, 18-4, 18-5, 18-6, 18-7, 18-8, 18-9, 18-10, 18-11

      Predicted Time to Collision 2 for Control Target

      18-1, 18-2, 18-3, 18-4, 18-5, 18-6, 18-7, 18-8, 18-9, 18-10, 18-11

      Predicted Time to Collision Status for Control Target

      18-1, 18-2, 18-3, 18-4, 18-5, 18-6, 18-7, 18-8, 18-9, 18-10, 18-11

      Sensor Recognition Status for Control Target

      18-1, 18-2, 18-3, 18-4, 18-5, 18-6, 18-7, 18-8, 18-9, 18-10, 18-11

      Type of the Object for Control Target

      18-1, 18-2, 18-3, 18-4, 18-5, 18-6, 18-7, 18-8, 18-9, 18-10, 18-11

      PCS ALM Mode Status

      18-1, 18-2, 18-3, 18-4, 18-5, 18-6, 18-7, 18-8, 18-9, 18-10, 18-11

      PCS ALM Status

      18-1, 18-2, 18-3, 18-4, 18-5, 18-6, 18-7, 18-8, 18-9, 18-10, 18-11

      PCS Guard Status C

      18-1, 18-2, 18-3, 18-4, 18-5, 18-6, 18-7, 18-8, 18-9, 18-10, 18-11

      PCS Guard Status B

      18-1, 18-2, 18-3, 18-4, 18-5, 18-6, 18-7, 18-8, 18-9, 18-10, 18-11

      PCS Guard Status A

      18-1, 18-2, 18-3, 18-4, 18-5, 18-6, 18-7, 18-8, 18-9, 18-10, 18-11

      Sensor Recognition Status (Horizontal Axis Offset Status of Milli-Meter Wave Radar)

      18-1, 18-2, 18-3, 18-4, 18-5, 18-6, 18-7, 18-8, 18-9, 18-10, 18-11

      Sensor Recognition Status (Vertical Axis Offset Status of Milli-Meter Wave Radar)

      18-1, 18-2, 18-3, 18-4, 18-5, 18-6, 18-7, 18-8, 18-9, 18-10, 18-11

      Estimated Curve Radius

      18-1, 18-2, 18-3, 18-4, 18-5, 18-6, 18-7, 18-8, 18-9, 18-10, 18-11

      Detection of Certain Level of Acceleration

      18-1, 18-2, 18-3, 18-4, 18-5, 18-6, 18-7, 18-8, 18-9, 18-10, 18-11

      LKA DDR Trigger Signal

      19

      Invalid of LKA DDR Data

      19

      Steering Wheel Release Condition

      19

      Steering Operation of LKA

      19

      Steering Operation of LDA

      19

      LKA Control Condition (EPS Control)

      19

      LKA Control Condition

      19

      Turn Signal Operation

      19

      EPS Torque Sensor Value

      12, 13, 14, 15, 16, 19

      HV Recognition Flag

      2, 4, 3, 5-1, 5-2, 5-3, 6-1, 6-2, 6-3, 8, 9, 10, 12, 13, 14, 15, 16, 17, 18-1, 18-2, 18-3, 18-4, 18-5, 18-6, 18-7, 18-8, 18-9, 18-10, 18-11, 19, 20-1, 20-2, 20-3, 20-4, 20-5, 20-6

      Diesel Flag

      2, 4, 3, 5-1, 5-2, 5-3, 6-1, 6-2, 6-3, 8, 9, 10, 12, 13, 14, 15, 16, 17, 18-1, 18-2, 18-3, 18-4, 18-5, 18-6, 18-7, 18-8, 18-9, 18-10, 18-11, 19, 20-1, 20-2, 20-3, 20-4, 20-5, 20-6

      Sensor Type Identification (Yaw Rate Sensor)

      2, 4, 3, 5-1, 5-2, 5-3, 6-1, 6-2, 6-3, 8, 9, 10, 12, 13, 14, 15, 16, 17, 18-1, 18-2, 18-3, 18-4, 18-5, 18-6, 18-7, 18-8, 18-9, 18-10, 18-11, 19, 20-1, 20-2, 20-3, 20-4, 20-5, 20-6

      Sensor Type Identification (G Sensor)

      2, 4, 3, 5-1, 5-2, 5-3, 6-1, 6-2, 6-3, 8, 9, 10, 12, 13, 14, 15, 16, 17, 18-1, 18-2, 18-3, 18-4, 18-5, 18-6, 18-7, 18-8, 18-9, 18-10, 18-11, 19, 20-1, 20-2, 20-3, 20-4, 20-5, 20-6

      Sensor Type Identification (G Sensor Layout)

      2, 4, 3, 5-1, 5-2, 5-3, 6-1, 6-2, 6-3, 8, 9, 10, 12, 13, 14, 15, 16, 17, 18-1, 18-2, 18-3, 18-4, 18-5, 18-6, 18-7, 18-8, 18-9, 18-10, 18-11, 19, 20-1, 20-2, 20-3, 20-4, 20-5, 20-6

      Sensor Type Identification (Security)

      2, 4, 3, 5-1, 5-2, 5-3, 6-1, 6-2, 6-3, 8, 9, 10, 12, 13, 14, 15, 16, 17, 18-1, 18-2, 18-3, 18-4, 18-5, 18-6, 18-7, 18-8, 18-9, 18-10, 18-11, 19, 20-1, 20-2, 20-3, 20-4, 20-5, 20-6

      Yaw G Sensor Installation Information

      2, 4, 3, 5-1, 5-2, 5-3, 6-1, 6-2, 6-3, 8, 9, 10, 12, 13, 14, 15, 16, 17, 18-1, 18-2, 18-3, 18-4, 18-5, 18-6, 18-7, 18-8, 18-9, 18-10, 18-11, 19, 20-1, 20-2, 20-3, 20-4, 20-5, 20-6

      DSC Operation Flag

      5-1, 5-2, 5-3, 6-1, 6-2, 6-3, 8, 9, 10

      Table 4. Таблица элементов данных регистрации

      Информация на дисплее прибора

      Измеряемая величина

      Диапазон

      Замечание по диагностике

      Скорость автомобиля

      Скорость автомобиля на основных ведущих колесах

      0 - 200 км/час

      Если скорость автомобиля составляет не менее чем 200 км/час, отображается "200 km/h".

      Accelerator Opening Ratio

      Угол поворота педали акселератора

      от 0,0 до 100,0%

      -

      Engine RPM Data

      Количество оборотов коленчатого вала за 1 минуту

      0 - 12800 об/мин

      -

      Cruise Control

      Состояние системы круиз-контроля

      ON (ВКЛ): система круиз-контроля работает

      OFF (ВЫКЛ): Система круиз-контроля не работает или не предусмотрена конструкцией

      Если автомобиль не оснащен системой круиз-контроля, отображается OFF.

      Сигнал положения рычага переключения передач

      Положение рычага переключения передач

      N / D / R / P / 5 / 4 / 3 / 2 / LO / B / SD / S-Mode / Undetermined

      -

      Brake SW

      Состояние выключателя стоп-сигналов

      ON (ВКЛ): Стоп-сигналы горят

      OFF (ВЫКЛ): Стоп-сигналы не горят

      -

      Brake Oil Pressure

      Давление тормозной жидкости в главном цилиндре

      0,000 - 12,144 МПа

      -

      Yaw Rate Sensor Signal

      Угловая скорость автомобиля при повороте

      от -61,000 до 61,000 град./с

      • При повороте влево отображается положительное значение.

      • Если значение составляет 61 град./с или более, отображается "61.000 deg/s".

      • Если значение составляет -61 град./с или менее, отображается "-61.000 deg/s".

      Longitudinal G Sensor Signal

      Продольное ускорение, измеренное датчиком ускорения для системы VSC

      от -8,97250 до 8,97250 м/с2

      • При увеличении разгона отображается положительное значение.

      • Если значение составляет 8,9725 м/с2 или более, отображается "8,97250 м/с2".

      • Если значение составляет -8,9725 м/с2 или менее, отображается "-8,97250 м/с2".

      Lateral G Sensor Signal

      Боковое ускорение, измеренное датчиком ускорения для системы VSC

      от -8,97250 до 8,97250 м/с2

      • При повороте влево отображается положительное значение.

      • Если значение составляет 8,9725 м/с2 или более, отображается "8,97250 м/с2".

      • Если значение составляет -8,9725 м/с2 или менее, отображается "-8,97250 м/с2".

      Throttle Opening Ratio

      Степень открывания дроссельной заслонки

      от 0,0 до 100,0%

      Для моделей не с бензиновым двигателем отображается "Invalid".

      Command Value of Fuel Injection Amount

      Запрошенный объем впрыска топлива

      от 0,0 до 120,0 мм3/ход

      • Для моделей не с дизельным двигателем отображается "Invalid".

      • Если значение составляет 120 мм3/ход или более, отображается "120,0 мм3/ход".

      Steering Signal

      Угол поворота рулевого колеса

      от -567,0 до 567,0 град.

      • Положительное значение отображается при вращении рулевого колеса влево.

      • Если значение составляет 567 град. или более., отображается "567,0 deg".

      • Если значение составляет -567 град. или менее, отображается "-567,0 deg".

      • Поскольку рулевое колесо должно поворачиваться с тем, чтобы датчик угла поворота рулевого колеса достиг исходного значения, то если управление рулевым колесом осуществляется после включения питания (IG), будет отображаться недействительное значение.

      ICS Received Data Invalid Flag

      Наличие данных, связанных с ICS

      Valid / Invalid

      -

      ICS Trigger Flag

      Существование условий срабатывания ICS (идентификатор триггера 20-1, 20-2, 20-3, 20-4, 20-5, 20-6)

      OFF / Output Limit / Max Output Limit / Brake Control / Stop / Regression / Temporarily Not Available

      • Если ICS не сработала, отображается "OFF".

      • В момент обнаружения первого условия срабатывания отображается "OFF".

      • Если значением параметра "ICS Received Data Invalid Flag" является "Invalid", данный параметр будет недействителен.

      ICS Temporarily Not Available (Dirt)

      ICS временно отключена (грязь и т.п. на датчике)

      Available / Not Available

      Если значением параметра "ICS Received Data Invalid Flag" является "Invalid", данный параметр будет недействителен.

      ICS Temporarily Not Available (Low Voltage)

      ICS временно отключена (напряжение датчика)

      Available / Not Available

      Если значением параметра "ICS Received Data Invalid Flag" является "Invalid", данный параметр будет недействителен.

      ICS Request Driving Force Control Flag

      Операция управления подавлением тягового усилия

      ON (ВКЛ) / OFF (ВЫКЛ)

      Если значением параметра "ICS Received Data Invalid Flag" является "Invalid", данный параметр будет недействителен.

      ICS Request Braking Control Flag

      Операция управления тормозами

      ON (ВКЛ) / OFF (ВЫКЛ)

      Если значением параметра "ICS Received Data Invalid Flag" является "Invalid", данный параметр будет недействителен.

      ICS Controlled Object Distance

      Расстояние до обнаруженного объекта

      от 0,00 до 3,78 м

      Если значением параметра "ICS Received Data Invalid Flag" является "Invalid", данный параметр будет недействителен.

      ICS Controlled Object 1 Position (X)

      Положение распознанного объекта по оси Х

      от 0,00 до 3,78 м

      • Если значением параметра "ICS Received Data Invalid Flag" является "Invalid", данный параметр будет недействителен.

      • Различные значения будут отображаться для каждого обнаруженного объекта с 1 по 3.

      ICS Controlled Object 1 Position (Y)

      Положение распознанного объекта по оси Y

      от -3,84 до 3,72 м

      • Если значением параметра "ICS Received Data Invalid Flag" является "Invalid", данный параметр будет недействителен.

      • Различные значения будут отображаться для каждого обнаруженного объекта с 1 по 3.

      ICS Recognition Sensor (Controlled Object 1)

      Положение датчика, распознавшего объект

      W/O / Send LH Center to LH Corner / Send LH Center to RH Center / Send RH Center to RH Corner / Send RH Center to LH Center / Send LH Corner to LH Center / Send RH Corner to RH Center

      • Если значением параметра "ICS Received Data Invalid Flag" является "Invalid", данный параметр будет недействителен.

      • Различные значения будут отображаться для каждого обнаруженного объекта с 1 по 3.

      ICS Recognition Level (Controlled Object 1)

      Промежуток времени с момента обнаружения объекта (уровень)

      Without Level / Level 1 / Level 2 / Level 3

      • Чем выше уровень, тем дольше распознается объект.

      • Если значением параметра "ICS Received Data Invalid Flag" является "Invalid", данный параметр будет недействителен.

      • Различные значения будут отображаться для каждого обнаруженного объекта с 1 по 3.

      ICS Controlled Object 2 Position (X)

      Положение распознанного объекта по оси Х

      от 0,00 до 3,78 м

      • Если значением параметра "ICS Received Data Invalid Flag" является "Invalid", данный параметр будет недействителен.

      • Различные значения будут отображаться для каждого обнаруженного объекта с 1 по 3.

      ICS Controlled Object 2 Position (Y)

      Положение распознанного объекта по оси Y

      от -3,84 до 3,72 м

      • Если значением параметра "ICS Received Data Invalid Flag" является "Invalid", данный параметр будет недействителен.

      • Различные значения будут отображаться для каждого обнаруженного объекта с 1 по 3.

      ICS Recognition Sensor (Controlled Object 2)

      Положение датчика, распознавшего объект

      W/O / Send LH Center to LH Corner / Send LH Center to RH Center / Send RH Center to RH Corner / Send RH Center to LH Center / Send LH Corner to LH Center / Send RH Corner to RH Center

      • Если значением параметра "ICS Received Data Invalid Flag" является "Invalid", данный параметр будет недействителен.

      • Различные значения будут отображаться для каждого обнаруженного объекта с 1 по 3.

      ICS Recognition Level (Controlled Object 2)

      Промежуток времени с момента обнаружения объекта (уровень)

      Without Level / Level 1 / Level 2 / Level 3

      • Чем выше уровень, тем дольше распознается объект.

      • Если значением параметра "ICS Received Data Invalid Flag" является "Invalid", данный параметр будет недействителен.

      • Различные значения будут отображаться для каждого обнаруженного объекта с 1 по 3.

      ICS Controlled Object 3 Position (X)

      Положение распознанного объекта по оси Х

      от 0,00 до 3,78 м

      • Если значением параметра "ICS Received Data Invalid Flag" является "Invalid", данный параметр будет недействителен.

      • Различные значения будут отображаться для каждого обнаруженного объекта с 1 по 3.

      ICS Controlled Object 3 Position (Y)

      Положение распознанного объекта по оси Y

      от -3,84 до 3,72 м

      • Если значением параметра "ICS Received Data Invalid Flag" является "Invalid", данный параметр будет недействителен.

      • Различные значения будут отображаться для каждого обнаруженного объекта с 1 по 3.

      ICS Recognition Sensor (Controlled Object 3)

      Положение датчика, распознавшего объект

      W/O / Send LH Center to LH Corner / Send LH Center to RH Center / Send RH Center to RH Corner / Send RH Center to LH Center / Send LH Corner to LH Center / Send RH Corner to RH Center

      • Если значением параметра "ICS Received Data Invalid Flag" является "Invalid", данный параметр будет недействителен.

      • Различные значения будут отображаться для каждого обнаруженного объекта с 1 по 3.

      ICS Recognition Level (Controlled Object 3)

      Промежуток времени с момента обнаружения объекта (уровень)

      Without Level / Level 1 / Level 2 / Level 3

      • Чем выше уровень, тем дольше распознается объект.

      • Если значением параметра "ICS Received Data Invalid Flag" является "Invalid", данный параметр будет недействителен.

      • Различные значения будут отображаться для каждого обнаруженного объекта с 1 по 3.

      Power Train Mode

      Текущий режим движения

      Normal / Power / Eco

      -

      SNOW Mode

      Состояние индикатора режима SNOW

      ON (ВКЛ): Индикатор режима SNOW горит

      OFF (ВЫКЛ): Индикатор режима SNOW не горит

      Если значением параметра "Valid/Invalid of Driving Mode" является "Invalid", данный параметр будет недействителен.

      Valid/Invalid of Driving Mode

      Действительность информации режима SNOW

      Valid / Invalid

      -

      VSC OFF Lamp

      Состояние индикатора VSC OFF

      ON (ВКЛ): Индикатор VSC OFF горит

      OFF (ВЫКЛ): Индикатор VSC OFF не горит

      Если значением параметра "Valid/Invalid of TRC/VSC OFF Lamp" является "Invalid", данный параметр будет недействителен.

      TRC OFF Lamp

      Состояние индикатора TRC OFF

      ON (ВКЛ): Индикатор TRC OFF горит

      OFF (ВЫКЛ): Индикатор TRC OFF не горит

      Если значением параметра "Valid/Invalid of TRC/VSC OFF Lamp" является "Invalid", данный параметр будет недействителен.

      Valid/Invalid of TRC/VSC OFF Lamp

      Действительность информации индикаторов TRC OFF и VSC OFF

      Valid / Invalid

      -

      EV Mode

      Состояние индикатора режима EV

      ON (ВКЛ): Индикатор режима EV горит

      OFF (ВЫКЛ): Индикатор режима EV не горит

      Если значением параметра "Valid/Invalid of EV Mode" является "Invalid", данный параметр будет недействителен.

      Valid/Invalid of EV Mode

      Действительность информации режима EV

      Valid / Invalid

      -

      Shift Gear

      Выбранная передача (или диапазон) отображается на щитке приборов, когда рычаг переключения передач находится в положении М (или S)

      OFF (ВЫКЛ): Не отображается на щитке приборов

      1-я - 8-я На щитке отображается передача/диапазон

      Отображаемая передача может отличаться от фактически выбранной передачи.

      Engine Load Factor

      Нагрузка двигателя

      от 0,0 до 100,0%

      Для моделей с дизельным двигателем и гибридной силовой установкой отображается "Invalid".

      READY Signal

      Движение возможно

      ON (ВКЛ): Сообщение о том, что движение возможно, отображается

      OFF (ВЫКЛ): Сообщение о том, что движение возможно, не отображается

      Для моделей с бензиновым и дизельным двигателем отображается "Invalid".

      Gear Position Signal

      Текущая передача

      1-я / 2-я / 3-я / 4-я / 5-я / 6-я / 7-я / 8-я

      • Для моделей с гибридной силовой установкой отображается "Invalid".

      • Для моделей с бесступенчатой трансмиссией всегда отображается "1".

      Turbine RPM/Input Shaft RPM

      Частота вращения выходного вала гидротрансформатора (частота вращения первичного вала трансмиссии)

      0 - 12650 об/мин

      -

      Under VSC Control

      Работа VSC

      ON (ВКЛ): действует

      OFF (ВЫКЛ): не действует или не установлена

      -

      Under ABS Control

      Работа АБС

      ON (ВКЛ): действует

      OFF (ВЫКЛ): не действует или не установлена

      -

      Under VDM Control

      Работа VDIM

      ON (ВКЛ): действует

      OFF (ВЫКЛ): не действует или не установлена

      -

      Under TRC Operation Flag

      Работа TRC

      ON (ВКЛ): действует

      OFF (ВЫКЛ): не действует или не установлена

      -

      FR Wheel Speed

      Частота вращения правого переднего колеса

      -327,68 - 327,65 км/час

      Если значение составляет не менее чем 327,65 км/час, отображается "327.65 km".

      FL Wheel Speed

      Частота вращения левого переднего колеса

      -327,68 - 327,66 км/час

      Если значение составляет не менее чем 327,65 км/час, отображается "327.65 km".

      RR Wheel Speed

      Частота вращения правого заднего колеса

      -327,68 - 327,66 км/час

      Если значение составляет не менее чем 327,65 км/час, отображается "327.65 km".

      RL Wheel Speed

      Частота вращения левого заднего колеса

      -327,68 - 327,66 км/час

      Если значение составляет не менее чем 327,65 км/час, отображается "327.65 km".

      Cruise System

      Неисправность в системе круиз-контроля

      Normal / Fault / Invalid

      -

      Driving Force Demand Judgment Flag

      Запрос тягового усилия

      Driving Force / Non-Driving Force

      Для всех автомобилей отображается фиксированное значение.

      Cruise Control Master Switch Flag

      Главная функция управления, которая определяет скорость автомобиля во время работы круиз-контроля (силовая передача/DSS (система помощи при движении))

      Power Train / DSS

      • Если значением параметра "Cruise System" является "Fault" или "Invalid", данный параметр будет недействителен.

      • Для всех автомобилей отображается фиксированное значение.

      DSS Judgment Flag

      Наличие DSS (системы помощи при движении)

      Да / Нет

      Если значением параметра "Cruise System" является "Fault" или "Invalid", данный параметр будет недействителен.

      Cruise Control Res/Accel SW

      Состояние переключателя RES/+ (ACCEL) круиз-контроля

      ON (ВКЛ) / OFF (ВЫКЛ)

      Если значением параметра "Cruise System" является "Fault" или "Invalid", данный параметр будет недействителен.

      Cruise Control Set/Coast SW

      Состояние переключателя SET/-(COAST) системы круиз-контроля

      ON (ВКЛ) / OFF (ВЫКЛ)

      Если значением параметра "Cruise System" является "Fault" или "Invalid", данный параметр будет недействителен.

      Cruise Control Cancel SW

      Состояние выключателя CANCEL системы круиз-контроля

      ON (ВКЛ) / OFF (ВЫКЛ)

      Если значением параметра "Cruise System" является "Fault" или "Invalid", данный параметр будет недействителен.

      Cruise Control Brake SW

      Состояние выключателя стоп-сигналов во время работы круиз-контроля

      ON (ВКЛ) / OFF (ВЫКЛ)

      Если значением параметра "Cruise System" является "Fault" или "Invalid", данный параметр будет недействителен.

      Cruise Control D Signal

      Рычаг переключения передач в положении D во время работы круиз-контроля

      ON (ВКЛ) / OFF (ВЫКЛ)

      Если значением параметра "Cruise System" является "Fault" или "Invalid", данный параметр будет недействителен.

      Cruise Control Main SW

      Состояние главного выключателя круиз-контроля

      ON (ВКЛ) / OFF (ВЫКЛ)

      Если значением параметра "Cruise System" является "Fault" или "Invalid", данный параметр будет недействителен.

      Cruise Control Set Speed

      Скорость автомобиля, заданная для режима круиз-контроля

      0-255 км/час

      Если значением параметра "Cruise System" является "Fault" или "Invalid", данный параметр будет недействителен.

      Vehicle Speed (during Cruise Control)

      Скорость автомобиля во время работы круиз-контроля

      0-255 км/час

      Если значением параметра "Cruise System" является "Fault" или "Invalid", данный параметр будет недействителен.

      Cruise Control Request Value

      Система круиз-контроля запросила угол поворота дроссельной заслонки (если параметр "Driving Force Demand Judgment Flag" имеет значение "Non-Driving Force") или тяговое усилие (если параметр "Driving Force Demand Judgment Flag" имеет значение "Driving Force")

      Угол поворота дроссельной заслонки: от 0,0 до 127,5%

      Тяговое усилие: от -12800 до 12700 Н

      • Отображаемые значения для этого параметра и параметра "Driving Force Demand Judgment Flag" будут различаться.

      • Если значением параметра "Cruise System" является "Fault" или "Invalid", данный параметр будет недействителен.

      ACC Target Distance

      Расстояние до целевого впереди движущегося автомобиля в режиме контроля дистанции между автомобилями ACC (динамической радарной системы круиз-контроля)

      от 0 до 251 м

      Если значением параметра "Cruise System" является "Fault" или "Invalid", данный параметр будет недействителен.

      ACC Target Condition

      Состояние системы ACC (динамическая радарная система круиз-контроля)

      Forward Vehicle / No Forward Vehicle / Constant Speed Mode / Radar Failure

      Если значением параметра "Cruise System" является "Fault" или "Invalid", данный параметр будет недействителен.

      ACC Relative Speed

      Относительная скорость целевого впереди движущегося автомобиля в режиме контроля дистанции между автомобилями ACC (динамической радарной системы круиз-контроля)

      -128 - 127 км/час

      • Отрицательное значение будет отображаться при приближении к целевому впереди движущемуся автомобилю.

      • Если значением параметра "Cruise System" является "Fault" или "Invalid", данный параметр будет недействителен.

      PCS Reception Data Invalid Flag

      Действительность сопутствующей информации PCS

      Valid / Invalid

      -

      ALM Request Flag 2

      Рабочая команда предупреждения PCS 2 от ЭБУ помощи при движении в зуммер системы противоскольжения и щиток приборов в сборе

      ON (ВКЛ) / OFF (ВЫКЛ)

      -

      ALM Request Flag

      Рабочая команда предупреждения PCS 1 от ЭБУ помощи при движении в зуммер системы противоскольжения и щиток приборов в сборе

      ON (ВКЛ) / OFF (ВЫКЛ)

      -

      ABK Request Flag

      Команда запроса экстренного торможения от ЭБУ помощи при движении в ЭБУ системы противоскольжения

      ON (ВКЛ) / OFF (ВЫКЛ)

      • Отображается только на автомобилях с камерой контроля водителя.

      • Если значением параметра "PCS Reception Data Invalid Flag" является "Invalid", данный параметр будет недействителен.

      PBA Request Flag

      Команда усиления экстренного торможения PCS от ЭБУ помощи при движении в ЭБУ системы противоскольжения

      OFF / PBA1 ON / PBA2 ON / PBA3 ON

      Если значением параметра "PCS Reception Data Invalid Flag" является "Invalid", данный параметр будет недействителен.

      FPB Request Flag

      Команда торможения (заблаговременное торможение) PCS от ЭБУ помощи при движении в ЭБУ системы противоскольжения

      ON (ВКЛ) / OFF (ВЫКЛ)

      Если значением параметра "PCS Reception Data Invalid Flag" является "Invalid", данный параметр будет недействителен.

      PB Request Flag

      Команда торможения (срабатывания) PCS от ЭБУ помощи при движении в ЭБУ системы противоскольжения

      ON (ВКЛ) / OFF (ВЫКЛ)

      Если значением параметра "PCS Reception Data Invalid Flag" является "Invalid", данный параметр будет недействителен.

      PSB Request Flag

      Команда на срабатывание ремня безопасности системы PCS от ЭБУ помощи при движении в ЭБУ ремней безопасности

      ON (ВКЛ) / OFF (ВЫКЛ)

      Если значением параметра "PCS Reception Data Invalid Flag" является "Invalid", данный параметр будет недействителен.

      Prefill Request Flag

      Команда торможения (готовность) PCS от ЭБУ помощи при движении в ЭБУ системы противоскольжения

      ON (ВКЛ) / OFF (ВЫКЛ)

      Если значением параметра "PCS Reception Data Invalid Flag" является "Invalid", данный параметр будет недействителен.

      Stop Lamp Lighting Request Flag

      Команда включения стоп-сигналов от ЭБУ помощи при движении в ЭБУ системы противоскольжения

      ON (ВКЛ) / OFF (ВЫКЛ)

      Если значением параметра "PCS Reception Data Invalid Flag" является "Invalid", данный параметр будет недействителен.

      PCS Brake Hold Request Flag

      Команда поддержания тормозного усилия после срабатывания PCS от ЭБУ помощи при движении в ЭБУ системы противоскольжения

      ON (ВКЛ) / OFF (ВЫКЛ)

      Если значением параметра "PCS Reception Data Invalid Flag" является "Invalid", данный параметр будет недействителен.

      Collision Avoidance Assist Request Flag 1

      Команда уклонения от столкновения 1 от ЭБУ помощи при движении в VGRS/DSR

      ON (ВКЛ) / OFF (ВЫКЛ)

      Если значением параметра "PCS Reception Data Invalid Flag" является "Invalid", данный параметр будет недействителен.

      Collision Avoidance Assist Request Flag 2

      Команда уклонения от столкновения 2 от ЭБУ помощи при движении в VGRS/DSR

      ON (ВКЛ) / OFF (ВЫКЛ)

      Если значением параметра "PCS Reception Data Invalid Flag" является "Invalid", данный параметр будет недействителен.

      Collision Avoidance Assist Request Flag 3

      Команда уклонения от столкновения 3 от ЭБУ помощи при движении в VGRS/DSR

      ON (ВКЛ) / OFF (ВЫКЛ)

      Если значением параметра "PCS Reception Data Invalid Flag" является "Invalid", данный параметр будет недействителен.

      PCS SW

      Состояние ON/OFF системы PCS в зависимости от управления переключателем

      ON (ВКЛ) / OFF (ВЫКЛ)

      Если значением параметра "PCS Reception Data Invalid Flag" является "Invalid", данный параметр будет недействителен.

      PCS Display (Diag Condition)

      Состояние предупреждающего сообщения системы PCS

      ON (ВКЛ) / OFF (ВЫКЛ)

      Если значением параметра "PCS Reception Data Invalid Flag" является "Invalid", данный параметр будет недействителен.

      PCS Display (Milli Wave Dirt)

      Наличие грязи и других посторонних частиц на датчике радара миллиметрового диапазона

      ON (ВКЛ) / OFF (ВЫКЛ)

      Если значением параметра "PCS Reception Data Invalid Flag" является "Invalid", данный параметр будет недействителен.

      PCS Display (Temporarily not available)

      Система PCS временно отключена

      System Available / System Not Available

      Если значением параметра "PCS Reception Data Invalid Flag" является "Invalid", данный параметр будет недействителен.

      PCS Display (Sensor Recognition Status)

      Состояние распознавания датчика

      Status1 / Status2

      Если значением параметра "PCS Reception Data Invalid Flag" является "Invalid", данный параметр будет недействителен.

      PCS Display (Milli-Meter Wave Radar Low Voltage Status)

      Низкое напряжение на датчике радара миллиметрового диапазона

      Normal / Low

      Если значением параметра "PCS Reception Data Invalid Flag" является "Invalid", данный параметр будет недействителен.

      PCS Display (Camera Backlight Status)

      Наличие контрового света камеры

      Normal / Backlight

      Если значением параметра "PCS Reception Data Invalid Flag" является "Invalid", данный параметр будет недействителен.

      PCS Display (Milli-Meter Wave Radar Alignment Flag)

      Состояние регулировки оптической оси датчика радара миллиметрового диапазона

      ON (ВКЛ) / OFF (ВЫКЛ)

      Если значением параметра "PCS Reception Data Invalid Flag" является "Invalid", данный параметр будет недействителен.

      PCS Display (Object Recognition Status)

      Состояние распознавания целевого объекта

      Status1 / Status2

      Если значением параметра "PCS Reception Data Invalid Flag" является "Invalid", данный параметр будет недействителен.

      PCS Display (Control Status 1)

      Состояние системы PCS 1

      Level1 / Level2 / Level3 / Level4

      Если значением параметра "PCS Reception Data Invalid Flag" является "Invalid", данный параметр будет недействителен.

      PCS Display (Control Status 2)

      Состояние системы PCS 2

      Level1 / Level2 / Level3 / Level4

      Если значением параметра "PCS Reception Data Invalid Flag" является "Invalid", данный параметр будет недействителен.

      Расстояние до мишени

      Расстояние до целевого объекта системы PCS

      от 0,00 до 100,33 м

      • Если объект был распознан, но срабатывание системы PCS было определено как необязательное, будет отображаться максимальное значение.

      • Если значением параметра "PCS Reception Data Invalid Flag" является "Invalid", данный параметр будет недействителен.

      Target Relative Velocity

      Относительная скорость целевого объекта системы PCS

      -57,540 - 14,000 м/с

      • Отрицательное значение будет отображаться при приближении к целевому объекту.

      • Если объект был распознан, но срабатывание системы PCS было определено как необязательное, будет отображаться максимальное значение.

      • Если значением параметра "PCS Reception Data Invalid Flag" является "Invalid", данный параметр будет недействителен.

      Target Lateral Position

      Горизонтальное расположение целевого объекта системы PCS

      от -5,12 до 4,80 м

      • Отображается положительное значение, если обнаруженный объект находится справа от осевой линии автомобиля.

      • Отображается отрицательное значение, если обнаруженный объект находится слева от осевой линии автомобиля.

      • Если объект был распознан, но срабатывание системы PCS было определено как необязательное, будет отображаться максимальное значение.

      • Если значением параметра "PCS Reception Data Invalid Flag" является "Invalid", данный параметр будет недействителен.

      Target Object Number

      Количество объектов, обнаруженных датчиками; количество объектов, определенных как целевые объекты системы PCS

      1 - 33

      • Если отображается "1", когда максимальное значение отображается для каждого связанного параметра ("Target Distance", "Target Relative Velocity", "Target Lateral Position"), срабатывание системы PCS будет считаться необязательным.

      • Если значением параметра "PCS Reception Data Invalid Flag" является "Invalid", данный параметр будет недействителен.

      Relative Acceleration for Control Target

      Относительное ускорение целевого объекта системы PCS

      от -8 до 7 м/с2

      Если значением параметра "PCS Reception Data Invalid Flag" является "Invalid", данный параметр будет недействителен.

      Predicted Time to Collision 1 for Control Target

      Расчетное время до столкновения с целевым объектом системы PCS 1

      0,0 - 6,3 с

      Если значением параметра "PCS Reception Data Invalid Flag" является "Invalid", данный параметр будет недействителен.

      Predicted Time to Collision 2 for Control Target

      Расчетное время до столкновения с целевым объектом системы PCS 2

      0,0 - 6,3 с

      Если значением параметра "PCS Reception Data Invalid Flag" является "Invalid", данный параметр будет недействителен.

      Predicted Time to Collision Status for Control Target

      Состояние расчетного времени до столкновения с целевым объектом системы PCS

      Status1 / Status2

      Если значением параметра "PCS Reception Data Invalid Flag" является "Invalid", данный параметр будет недействителен.

      Sensor Recognition Status for Control Target

      Состояние распознавания датчика

      Status1 - Status10

      Если значением параметра "PCS Reception Data Invalid Flag" является "Invalid", данный параметр будет недействителен.

      Type of the Object for Control Target

      Тип целевого объекта системы PCS

      Type1 - Type12

      Если значением параметра "PCS Reception Data Invalid Flag" является "Invalid", данный параметр будет недействителен.

      PCS ALM Mode Status

      Настройка чувствительности предупреждений PCS

      OFF / Far / Middle / Near

      Если значением параметра "PCS Reception Data Invalid Flag" является "Invalid", данный параметр будет недействителен.

      PCS ALM Status

      Состояние предупреждений системы PCS

      Status1 - Status3

      Если значением параметра "PCS Reception Data Invalid Flag" является "Invalid", данный параметр будет недействителен.

      PCS Guard Status C

      Состояние защиты С системы PCS

      Status1 / Status2

      Если значением параметра "PCS Reception Data Invalid Flag" является "Invalid", данный параметр будет недействителен.

      PCS Guard Status B

      Состояние защиты В системы PCS

      Status1 / Status2

      Если значением параметра "PCS Reception Data Invalid Flag" является "Invalid", данный параметр будет недействителен.

      PCS Guard Status A

      Состояние защиты А системы PCS

      Status1 - Status4

      Если значением параметра "PCS Reception Data Invalid Flag" является "Invalid", данный параметр будет недействителен.

      Sensor Recognition Status (Horizontal Axis Offset Status of Milli-Meter Wave Radar)

      Отклонение датчика радара миллиметрового диапазона по горизонтали

      Status1 / Status2

      Если значением параметра "PCS Reception Data Invalid Flag" является "Invalid", данный параметр будет недействителен.

      Sensor Recognition Status (Vertical Axis Offset Status of Milli-Meter Wave Radar)

      Отклонение датчика радара миллиметрового диапазона по вертикали

      Status1 - Status8

      Если значением параметра "PCS Reception Data Invalid Flag" является "Invalid", данный параметр будет недействителен.

      Estimated Curve Radius

      Расчетный рабочий радиус закругления маршрута

      от -6400 до 6200 м

      Если значением параметра "PCS Reception Data Invalid Flag" является "Invalid", данный параметр будет недействителен.

      Detection of Certain Level of Acceleration

      Обнаружение разгона, превышающего пороговое значение

      Not Supported / No / Invalid / Yes

      Если значением параметра "PCS Reception Data Invalid Flag" является "Invalid", данный параметр будет недействителен.

      LKA DDR Trigger Signal

      Обнаружение триггера LKA/LDA (ID триггера № 19)

      Trigger OFF: условия не выполняются

      Trigger Condition1: Выполняется условие 1

      Trigger Condition2: Выполняется условие 2

      Trigger Condition3: Выполняется условие 3

      Если значением параметра "Invalid of LKA DDR Data" является "Invalid", данный параметр будет недействителен.

      Invalid of LKA DDR Data

      Действительность сопутствующей информации LKA/LDA

      Valid / Invalid

      -

      Steering Wheel Release Condition

      В ходе работы системы LKA определяется, что руки водителя находятся на рулевом колесе

      ON (ВКЛ): Руки не обнаружены на рулевом колесе

      OFF (ВЫКЛ): Руки обнаружены на рулевом колесе

      Если значением параметра "Invalid of LKA DDR Data" является "Invalid", данный параметр будет недействителен.

      Steering Operation of LKA

      Оценка работы рулевого колеса во время работы системы LKA

      ON (ВКЛ): Рулевое колесо приводится в действие

      OFF (ВЫКЛ): Рулевое колесо не поворачивается

      Если значением параметра "Invalid of LKA DDR Data" является "Invalid", данный параметр будет недействителен.

      Steering Operation of LDA

      Оценка работы рулевого колеса во время работы системы LDA

      ON (ВКЛ): Рулевое колесо приводится в действие

      OFF (ВЫКЛ): Рулевое колесо не поворачивается

      Если значением параметра "Invalid of LKA DDR Data" является "Invalid", данный параметр будет недействителен.

      LKA Control Condition (EPS Control)

      Состояние системы EPS

      ON (ВКЛ): Система EPS работает

      OFF (ВЫКЛ): Система EPS не работает

      Если значением параметра "Invalid of LKA DDR Data" является "Invalid", данный параметр будет недействителен.

      LKA Control Condition

      Состояние управления LKA/LDA

      LKA Available: Работа LKA возможна

      LDA Available: Работа LDA возможна

      OFF (ВЫКЛ): Работа LKA/LDA невозможна

      Если значением параметра "Invalid of LKA DDR Data" является "Invalid", данный параметр будет недействителен.

      Turn Signal Operation

      Рабочее состояние указателей поворота

      OFF / Right Turn ON / Left Turn ON

      Если значением параметра "Invalid of LKA DDR Data" является "Invalid", данный параметр будет недействителен.

      EPS Torque Sensor Value

      Степень усиления системы рулевого управления с электроусилителем

      от -12,5 до 12,5 Н*м

      Положительное значение отображается при вращении рулевого колеса влево.

      HV Recognition Flag

      Определение гибридной системы

      HV: гибридный

      Not HV: автомобиль с бензиновым или дизельным двигателем

      -

      Diesel Flag

      Расчет для автомобилей с дизельным двигателем

      Дизельный двигатель: Для автомобилей с дизельным двигателем

      Not Diesel: автомобиль с бензиновым двигателем или гибридной системой

      -

      Sensor Type Identification (Yaw Rate Sensor)

      Количество установленных датчиков рысканья

      1 / 2

      Для всех автомобилей отображается фиксированное значение.

      Sensor Type Identification (G Sensor)

      Количество установленных датчиков ускорения

      1 / 2

      Для всех автомобилей отображается фиксированное значение.

      Sensor Type Identification (G Sensor Layout)

      Угол установки датчика ускорения относительно продольной оси автомобиля

      45 град. / 90 град.

      Для всех автомобилей отображается фиксированное значение.

      Sensor Type Identification (Security)

      Наличие датчика наклона

      With/Without

      Для всех автомобилей отображается фиксированное значение.

      Yaw G Sensor Installation Information

      Направление установки датчика ускорения (стандартное или обратное (180° от стандартного))

      Original / Counter

      Для всех автомобилей отображается фиксированное значение.

      DSC Operation Flag

      Принцип работы системы DSC (системы управления началом движения)

      ON (ВКЛ): действует

      OFF (ВЫКЛ): Not operating или invalid

      -