СИСТЕМА ПОСАДКИ И ЗАПУСКА ОБЩАЯ СХЕМА СИСТЕМЫ

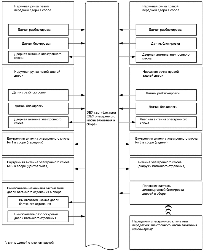
Figure 1. Функция посадки (для моделей с функцией посадки)
Y220418E03
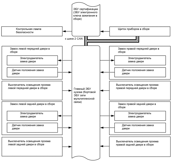
Y220419E01
Y220515E02
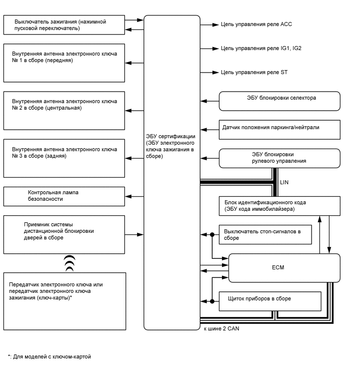
Figure 2. Start System
Y220434E02