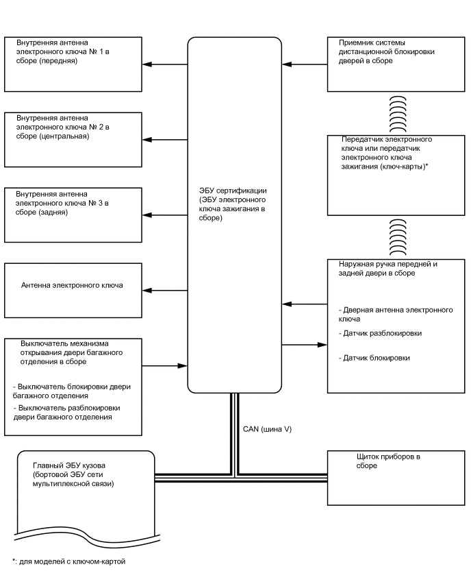
СИСТЕМА ПОСАДКИ И ЗАПУСКА ОБЩАЯ СХЕМА СИСТЕМЫ

Figure 1. Функция посадки
Y167598E01
Y167599E01
Figure 2. Система запуска
Y173726E02