СИСТЕМА ПЕРЕДАЧИ ДАННЫХ CAN ОБЩАЯ СХЕМА СИСТЕМЫ

Figure 1. Шина V (для моделей с правосторонним рулевым управлением)
Y174461E01
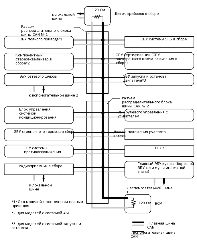
Figure 2. Шина V (для моделей с левосторонним рулевым управлением)
Y174462E01
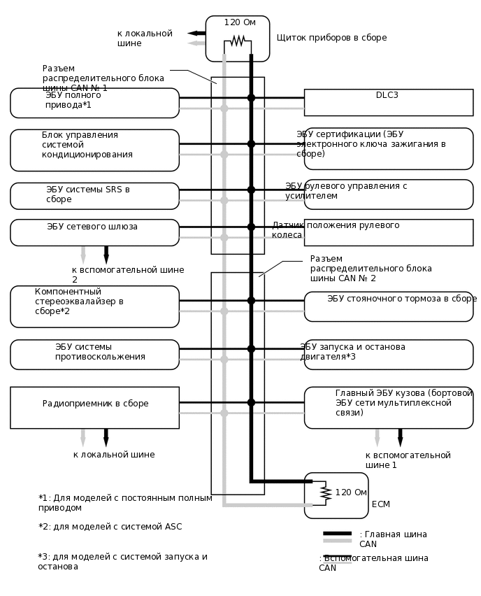
Figure 3. Вспомогательная шина 2 (для моделей с правосторонним рулевым управлением)
Y174464E01
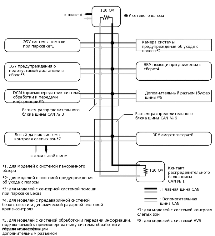
Figure 4. Вспомогательная шина 2 (для моделей с левосторонним рулевым управлением)
Y174463E01
Figure 5. Вспомогательная шина 1 (для моделей с правосторонним рулевым управлением)
Y167533E02
Figure 6. Вспомогательная шина 1 (для моделей с левосторонним рулевым управлением)
Y167534E02
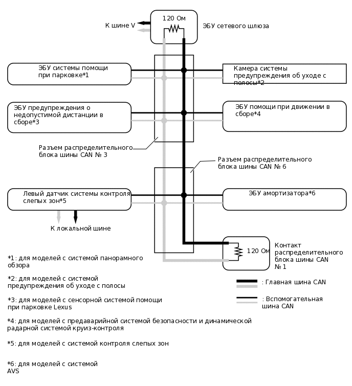
Figure 7. Докальная шина (для моделей с предаварийной системой безопасности и динамической радарной системой круиз-контроля)
Y167536E01
Figure 8. Локальная шина (для моделей с системой навигации или варианта комплектации для Кореи)
Y173688E01
Figure 9. Локальная шина (для моделей с системой контроля слепых зон)
Y167538E01