СИСТЕМА ОБРАБОТКИ И ПЕРЕДАЧИ ИНФОРМАЦИИ (для моделей с приемопередатчиком системы обработки и передачи информации) РЕГИСТРАЦИЯ

ПОРЯДОК ВЫПОЛНЕНИЯ

  1. КОНТРАКТНЫЕ УСТАНОВКИ АВТОМОБИЛЯ

    Tip:
    • При замене радиоприемника в сборе контракт на G-BOOK расторгать не обязательно. (При расторжении после замены требуется оформить новый контракт на G-BOOK.)

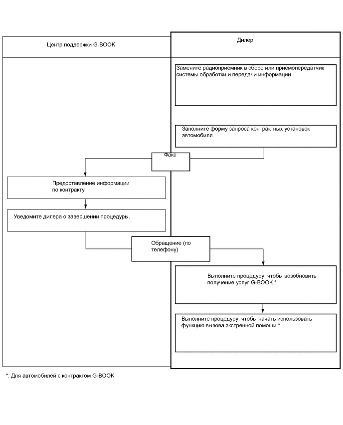
    • В случае замены радиоприемника в сборе или приемопередатчика системы обработки и передачи информации на автомобилях, которые не имеют контракта на обслуживание G-BOOK, выполните контрактные установки автомобиля.

    • В случае замены радиоприемника в сборе или приемопередатчика системы обработки и передачи информации на автомобилях, которые имеют контракт на обслуживание G-BOOK, выполните контрактные установки автомобиля, а также процедуру возобновления обслуживания G-BOOK и активации услуги вызова экстренной помощи.

    E202257E14
    1. Перед заменой проверьте идентификационный код (когда может быть начата диагностика).

      Tip:
      • В случае замены радиоприемника в сборе проверьте идентификационный код G-BOOK.

      • При замене приемопередатчика системы обработки и передачи проверьте идентификационный код DCM.

      1. Войдите в режим диагностики.

        Нажмите здесьClick here

      2. E271944

        На экране "Service Menu" (меню обслуживания) выберите "Service Information" (информация об обслуживании).

      3. E276171

        На экране "Service Information" (информация об обслуживании) выберите "G-BOOK Info for Contract" (информация о контрактных установках G-BOOK).

      4. E233481

        Проверьте идентификационный код G-BOOK или DCM.

        Tip:

        Идентификационный код DCM указан на этикетке приемопередатчика системы обработки и передачи информации.

    2. Замените радиоприемник в сборе или приемопередатчик системы обработки и передачи информации.

      1. Замените радиоприемник в сборе или приемопередатчик системы обработки и передачи информации в дилерском центре.

    3. Проверьте идентификационный код после замены.

      Tip:
      • В случае замены радиоприемника в сборе проверьте идентификационный код G-BOOK.

      • При замене приемопередатчика системы обработки и передачи проверьте идентификационный код DCM.

      1. Войдите в режим диагностики.

        Нажмите здесьClick here

      2. E271944

        На экране "Service Menu" (меню обслуживания) выберите "Service Information" (информация об обслуживании).

      3. E276171

        На экране "Service Information" (информация об обслуживании) выберите "G-BOOK Info for Contract" (информация о контрактных установках G-BOOK).

      4. E233481

        Проверьте идентификационный код G-BOOK или DCM.

        Tip:

        Идентификационный код DCM указан на этикетке приемопередатчика системы обработки и передачи информации.

    4. Заполните форму запроса контрактных установок автомобиля.

      E169792E04
      1. После заполнения формы запроса контрактных установок автомобиля отправьте ее по факсу в центр G-BOOK.

        Описание

        Информация, которая должна быть введена.

        Примечание

        *1

        Введите название дилерского центра.

        Информация о дилере

        *2

        Введите фамилию заявителя.

        Информация о заявителе

        *3

        Введите номер факса дилера.

        Информация о дилере

        *4

        Введите номер телефона дилера.

        Информация о дилере

        *5

        Введите идентификационный номер транспортного средства.

        Информация об автомобиле

        *6

        • Введите идентификационный код G-BOOK старого блока.

        • Выровняйте номер по левому краю.

        • Если радиоприемник в сборе не был заменен, значение этого параметра вводить не требуется.

        Используется в качестве информации о запросе на изменение от дилера

        *7

        • Введите идентификационный код DCM старого блока.

        • Выровняйте номер по левому краю.

        • Если приемопередатчик системы обработки и передачи информации не был заменен, этот параметр вводить не требуется.

        Используется в качестве информации о запросе на изменение от дилера

        *8

        • Введите идентификационный код G-BOOK нового блока, установленного на автомобиле.

        • Выровняйте номер по левому краю.

        • Если радиоприемник в сборе не был заменен, значение этого параметра вводить не требуется.

        Используется в качестве информации о запросе на изменение от дилера

        *9

        • Введите идентификационный код DCM нового блока, установленного на автомобиле.

        • Выровняйте номер по левому краю.

        • Если приемопередатчик системы обработки и передачи информации не был заменен, этот параметр вводить не требуется.

        Используется в качестве информации о запросе на изменение от дилера

        *10

        • Введите дату замены приемопередатчика системы обработки и передачи информации.

        • Если приемопередатчик системы обработки и передачи информации не был заменен, этот параметр вводить не требуется.

        Используется в качестве информации о запросе на изменение от дилера

        *11

        Введите пробег по одометру на момент замены радиоприемника в сборе.

        Используется в качестве информации о запросе на изменение от дилера

        *12

        Введите дату регистрации пробега.

        Используется в качестве информации о запросе на изменение от дилера

    5. Выполните процедуру, чтобы возобновить получение услуг G-BOOK.

      1. Выберите G-BOOK.com.

      2. Когда появится экран указаний, выполните процедуру возобновления получения услуг G-BOOK в соответствии с инструкциями на экране.

    6. Выполните процедуру, чтобы начать использовать функцию вызова экстренной помощи.

      1. Завершив процедуру возобновления получения услуг G-BOOK, начните получать услуги системы вызова экстренной помощи, выполнив указания на экране.

        Tip:

        Система вызова экстренной помощи будет доступна после успешного завершения процедуры.