HYBRID CONTROL SYSTEM, Diagnostic DTC:P0516-769 and P0517-770

DTC Code DTC Name
P0516-769 Battery Temperature Sensor Circuit Low
P0517-770 Battery Temperature Sensor Circuit High

DESCRIPTION

The thermistor assembly detects the auxiliary battery temperature. The resistance of the thermistor assembly built into the thermistor changes in accordance with changes in the auxiliary battery temperature. The lower the auxiliary battery temperature, the higher the thermistor assembly resistance. Conversely, the higher the temperature, the lower the resistance. The thermistor assembly is connected to the hybrid vehicle control ECU. A voltage of 5 V is supplied to the thermistor assembly from the THB terminal of the hybrid vehicle control ECU through its internal resistor R. This means that resistor R and the thermistor assembly are connected in series. The voltage at the THB terminal and the resistance value change in accordance with changes in the auxiliary battery temperature. Based on this signal, the hybrid vehicle control ECU reduces the charging current when the auxiliary battery temperature is high to protect the auxiliary battery.

Tip:

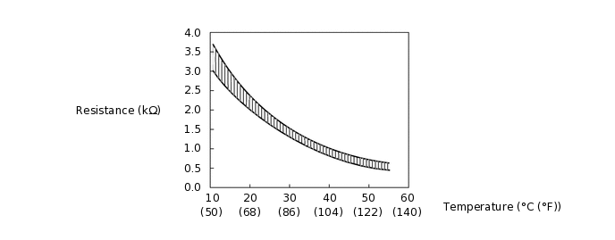
Characteristics of the thermistor assembly resistance (reference values) are as follows.

Terminal

THB

(with Connector Disconnected)

Resistance

Ambient Temperature

THB - E2

4.5 to 5.5 V

3.00 to 3.73 kΩ

Approximately 10°C (50°F)

1.60 to 1.80 kΩ

Approximately 25°C (77°F)

0.80 to 1.00 kΩ

Approximately 40°C (104°F)

A266952E03

DTC No.

Detection Item

DTC Detection Condition

Trouble Area

MIL

Warning Indicate

P0516-769

Battery Temperature Sensor Circuit Low

Malfunction in the thermistor assembly circuit (short to ground)

(1 trip detection logic)

  • Thermistor assembly

  • Wire harness or connector

  • Hybrid vehicle control ECU

Does not come on

Master Warning Light:

Does not come on

P0517-770

Battery Temperature Sensor Circuit High

Malfunction in the thermistor assembly circuit (open or short to +B)

(1 trip detection logic)

  • Thermistor assembly

  • Wire harness or connector

  • Hybrid vehicle control ECU

Does not come on

Master Warning Light:

Does not come on

Table 1. Related Data List

DTC No.

ECU Data List

P0516-769

Auxiliary Batt Temperature

P0517-770

WIRING DIAGRAM

A259938E40

CAUTION / NOTICE / HINT

Tip:
  • Read the freeze frame data using the GTS. In the freeze frame data, some information is recorded about the vehicle conditions at the moment a malfunction occurred. This information can be helpful when troubleshooting.

  • After confirming that DTC P0516-769 or P0517-770 is output, use the GTS to check "Auxiliary Batt Temperature" in the Hybrid Control Data List.

    Displayed Temperature

    Malfunction

    -40°C (-40°F)

    Open circuit or short to +B

    215°C (419°F)

    Short circuit or short to ground

  • After the repair, clear the DTCs and perform the following procedure to check that DTCs are not output.

    1. Turn the power switch on (IG) and wait for 5 seconds or more.

PROCEDURE

  1. CHECK CONNECTOR CONNECTION CONDITION (HYBRID VEHICLE CONTROL ECU CONNECTOR)

    1. C344138C01

      *A

      for LHD

      *B

      for RHD

      Check the connector connections and contact pressure of the relevant terminals for the hybrid vehicle control ECU connectors.

      Click here

      OK

      The connectors are connected securely and there are no contact pressure problems.

    Result

    Proceed to

    OK

    NG

    NG

    CONNECT SECURELY

    OK
  2. READ VALUE USING GTS (AUXILIARY BATT TEMPERATURE)

    1. Connect the GTS to the DLC3.

    2. Turn the power switch on (IG).

    3. Enter the following menus: Powertrain / Hybrid Control / Data List / Auxiliary Batt Temperature.

      Powertrain > Hybrid Control > Data List

      Tester Display

      Auxiliary Batt Temperature

    4. Read the Data List.

      Result

      Proceed to

      -40°C (-40°F)

      215°C (419°F)

      Same as actual temperature

    5. Turn the power switch off.

    215°C (419°F)

    READ VALUE USING GTS (CHECK FOR SHORT)Click here

    Same as actual temperature

    CHECK FOR INTERMITTENT PROBLEMS

    -40°C (-40°F)
  3. READ VALUE USING GTS (CHECK FOR OPEN)

    1. C308812

      Disconnect the N38 thermistor assembly connector.

    2. A237420C35

      *a

      Front view of wire harness connector

      (to Thermistor Assembly)

      Connect terminals 2 (THB) and 1 (E2) of the N38 thermistor assembly connector.

    3. Connect the GTS to the DLC3.

    4. Turn the power switch on (IG).

    5. Enter the following menus: Powertrain / Hybrid Control / Data List / Auxiliary Batt Temperature.

      Powertrain > Hybrid Control > Data List

      Tester Display

      Auxiliary Batt Temperature

    6. Read the Data List.

      OK

      Tester Display

      Condition

      Specified Condition

      Auxiliary Batt Temperature

      Terminals N38-1 (E2) and N38-2 (THB) connected

      Power switch on (IG)

      215°C (419°F)

    7. Turn the power switch off.

    8. Reconnect the N38 thermistor assembly connector.

    Result

    Proceed to

    OK

    NG

    OK

    REPLACE THERMISTOR ASSEMBLY

    NG

    CHECK HARNESS AND CONNECTOR (HYBRID VEHICLE CONTROL ECU - THERMISTOR ASSEMBLY)Click here

  4. READ VALUE USING GTS (CHECK FOR SHORT)

    1. C308812

      Disconnect the N38 thermistor assembly connector.

    2. Connect the GTS to the DLC3.

    3. Turn the power switch on (IG).

    4. Enter the following menus: Powertrain / Hybrid Control / Data List / Auxiliary Batt Temperature.

      Powertrain > Hybrid Control > Data List

      Tester Display

      Auxiliary Batt Temperature

    5. Read the Data List.

      OK

      Tester Display

      Condition

      Specified Condition

      Auxiliary Batt Temperature

      Power switch on (IG)

      -40°C (-40°F)

    6. Turn the power switch off.

    7. Reconnect the N38 thermistor assembly connector.

    Result

    Proceed to

    OK

    NG

    OK

    REPLACE THERMISTOR ASSEMBLY

    NG

    CHECK HARNESS AND CONNECTOR (THERMISTOR ASSEMBLY - HYBRID VEHICLE CONTROL ECU)Click here

  5. CHECK HARNESS AND CONNECTOR (HYBRID VEHICLE CONTROL ECU - THERMISTOR ASSEMBLY)

    1. A374929C23

      *a

      Component with harness connected

      (Hybrid Vehicle Control ECU)

      Connect terminals 20 (THB) and 21 (ETHB) of the G194 hybrid vehicle control ECU connector.

    2. Connect the GTS to the DLC3.

    3. Turn the power switch on (IG).

    4. Enter the following menus: Powertrain / Hybrid Control / Data List / Auxiliary Batt Temperature.

      Powertrain > Hybrid Control > Data List

      Tester Display

      Auxiliary Batt Temperature

    5. Read the Data List.

      OK

      Tester Display

      Condition

      Specified Condition

      Auxiliary Batt Temperature

      Terminals G194-20 (THB) and G194-21 (ETHB) connected

      Power switch on (IG)

      215°C (419°F)

    6. Turn the power switch off.

    Result

    Proceed to

    OK

    NG

    OK

    REPAIR OR REPLACE HARNESS OR CONNECTOR

    NG

    REPLACE HYBRID VEHICLE CONTROL ECU

  6. CHECK HARNESS AND CONNECTOR (THERMISTOR ASSEMBLY - HYBRID VEHICLE CONTROL ECU)

    1. Disconnect the N38 thermistor assembly connector.

    2. Disconnect the G194 hybrid vehicle control ECU connector.

    3. A324898C21

      *a

      Front view of wire harness connector

      (to Thermistor Assembly)

      *b

      Rear view of wire harness connector

      (to Hybrid Vehicle Control ECU)

      Measure the resistance according to the value(s) in the table below.

      Standard Resistance (Check for Open)

      Tester Connection

      Condition

      Specified Condition

      N38-2 (THB) - G194-20 (THB)

      Power switch off

      Below 1 Ω

      N38-1 (E2) - G194-21 (ETHB)

      Power switch off

      Below 1 Ω

      Standard Resistance (Check for Short)

      Tester Connection

      Condition

      Specified Condition

      N38-2 (THB) or G194-20 (THB) - Body ground and other terminals

      Power switch off

      10 kΩ or higher

      N38-1 (E2) or G194-21 (ETHB) - Body ground and other terminals

      Power switch off

      10 kΩ or higher

    4. Reconnect the G194 hybrid vehicle control ECU connector.

    5. Reconnect the N38 thermistor assembly connector.

    Result

    Proceed to

    OK

    NG

    OK

    REPLACE HYBRID VEHICLE CONTROL ECU

    NG

    REPAIR OR REPLACE HARNESS OR CONNECTOR