AIR CONDITIONING SYSTEM DIAGNOSIS SYSTEM

  1. DESCRIPTION

    1. Air conditioning system data and the Diagnostic Trouble Codes (DTCs) can be read through the Data Link Connector 3 (DLC3) of the vehicle. When the system seems to be malfunctioning, use the GTS to check for malfunctions and perform troubleshooting.

  2. CHECK DLC3

    1. Check the DLC3.

      Click here

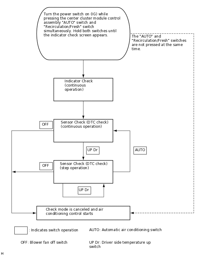
  3. LIST OF OPERATION METHODS

    1. By operating each of the air conditioning control switches as shown in the diagram below, it is possible to enter diagnostic check mode.

      E236715E49
  4. INDICATOR CHECK

    1. Turn the power switch off.

    2. Turn the power switch on (ACC) and wait at least 5 seconds.

    3. E269938C01

      *a

      Example

      Turn the power switch on (IG) while pressing the air conditioning control assembly "AUTO" switch and "Recirculation/Fresh" switch simultaneously. Hold both switches until the indicator check screen appears.

    4. E269939C02

      *a

      Example

      *b

      Indicator Blinking Pattern

      *c

      On

      *d

      Off

      *e

      1 second

      The indicator check is automatically performed when panel diagnosis is activated. Check that the indicators light up and go off 4 times at 1 second intervals continuously.

      Tip:
      • The sensor check automatically starts when the indicator check is completed.

      • Press the "OFF" switch to cancel check mode.

  5. SENSOR CHECK (DTC CHECK)

    1. Turn the power switch on (READY).

    2. Perform the indicator check.

      Tip:

      After the indicator check is completed, the system enters DTC check mode automatically.

    3. E269940C02

      Example

      *a

      Example

      *b

      Diagnostic Trouble Code (DTC)

      Read the DTC displayed on the indicator panel.

      Note:

      In sensor check mode, which is automatically entered after indicator check mode, troubleshooting may be partially performed. Be sure to perform the sensor check again.

      Tip:

      Refer to Diagnostic Trouble Code Chart for details of the codes.

      Click here

      • When there are no problems, DTC 00 is output.

      • As an example, the illustration shows that DTC 12 is output.

    4. E269941C01

      *a

      Example

      If the DTCs are difficult to read because they change automatically, press the "Driver Side Temperature Up" switch to display the DTCs one at a time so that they can be read easily. The DTCs change step by step each time the "Driver Side Temperature Up" switch is pressed.

      Tip:

      Press the "OFF" switch to finish panel diagnosis.

  6. SENSOR CHECK (CLEAR DTC)

    1. Turn the power switch on (READY).

    2. E269942C01

      *a

      Example

      During the sensor check, press the front defroster switch and rear defogger switch simultaneously.