СИСТЕМА ПОСАДКИ И ЗАПУСКА (для моделей с функцией посадки) ОПИСАНИЕ СИСТЕМЫ

  1. ФУНКЦИЯ МНОГОКАНАЛЬНОЙ ПЕРЕДАЧИ ДАННЫХ

    1. Передатчик электронного ключа и приемник системы дистанционной блокировки дверей могут работать на двух разных радиочастотных каналах. Когда передатчик электронного ключа вносится в наружную область обнаружения, производится сверка ключа. Если не удается проверить ключ вследствие интерференции радиосигналов, канал будет переключен, и сверка ключа выполнена заново.

      Многоканальная система начинает сверку, используя канал, посредством которого была успешно выполнена прошлая операция сверки. При сбое проверки система переходит на другой канал.

  2. ОСНОВНЫЕ МЕРЫ ПРЕДОСТОРОЖНОСТИ

    1. С помощью GTS можно проверить коды DTC и параметры Data List ЭБУ, связанного с системой посадки и запуска.

    2. Проверьте коды DTC следующим образом. Если выводятся какие-либо коды DTC, сначала выполните диагностику по ним.

      1. Подключите GTS к DLC3.

      2. Включите зажигание (IG).

      3. Войдите в следующие меню: Body Electrical / Entry&Start, Power Source Control или Starting Control / Trouble Codes.

    3. При использовании GTS с выключенным питанием, подсоедините GTS к DLC3 и включайте и выключайте освещение проема двери с интервалами 1,5 с или менее до тех пор, пока не начнется обмен данными между GTS и автомобилем. Затем выберите код модели "KEY REGIST" в ручном режиме и войдите в следующие пункты меню: Body Electrical / Entry&Start(CAN). При использовании диагностического прибора TechDoc3 периодически включайте и выключайте выключатель освещения дверного проема с интервалом не более 1,5 с, чтобы поддерживать связь между диагностическим прибором TechDoc3 и автомобилем.

    4. Если система посадки и запуска была отключена посредством настраиваемого параметра, включите систему посадки и запуска.

      Нажмите здесьClick hereClick here

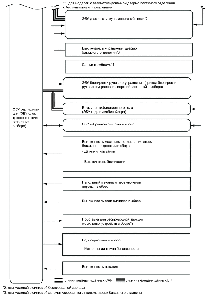
  3. СХЕМА СИСТЕМЫ ПОСАДКИ И ЗАПУСКА

    B374160E07
    B423546E03
    B423527E17
  4. ОПИСАНИЕ СИСТЕМЫ

    Будет использоваться следующая схема: "Operation" указывает на действие пользователя с помощью системы посадки и запуска с функцией запуска посредством нажимного переключателя. "Ожидаемая операция автомобиля" обозначает реакцию заведомо исправного автомобиля в соответствии с каждой операцией. "Предполагаемый участок / диагностика" обозначает предполагаемые участки неисправности и советы для операции диагностики, если автомобиль не реагирует, как ожидается.

    1. Пример: № операции

      Действие

      -

      Ожидаемая работа автомобиля

      -

      Осциллограмма или значение выходного сигнала

      -

      Предполагаемый участок

      Диагностика

      -

      -

  5. ДИАГНОСТИКА СОГЛАСНО ДЕЙСТВИЯМ ПОЛЬЗОВАТЕЛЯ

    1. Работа 1

      Действие

      Выключите питание, заприте все двери, а затем отнесите передатчик электронного ключа на расстояние не менее 3 м (9,84 фута) от автомобиля.

      Tip:

      Область обнаружения каждой антенны электронного ключа (наружная) образуется путем периодической передачи сигнала запроса в низкочастотном диапазоне каждые 0,25 с. Область обнаружения, формируемая каждой наружной ручкой передней двери (антенной электронного ключа) и наружной ручкой задней двери (антенной электронного ключа), составляет приблизительно 0,7 м (2,30 фута).

      Осциллограмма или значение выходного сигнала

      Формирование импульсов (R1-17 (CLG1) - J41-18 (E)*1, *2)

      Формирование импульсов (S5-17 (CLG1) - J41-18 (E)*1, *3)

      • *1: Нажмите здесьClick here

      • *2: для моделей с левосторонним рулевым управлением

      • *3: для моделей с правосторонним рулевым управлением

    2. Принцип работы 2

      Operation

      Поднесите передатчик электронного ключа на расстояние не более 0,7 м (2,30 фута) от двери водителя.

      Tip:

      Когда передатчик электронного ключа в сборе располагается в области обнаружения, и идентификационный код ключа, передаваемый передатчиком электронного ключа в сборе, совпадает с идентификационным кодом ключа, хранящимся в ЭБУ сертификации (ЭБУ электронного ключа зажигания в сборе), система переходит в режим ожидания разблокировки. Дверь разблокируется, если происходит касание датчика разблокировки рукой, когда система находится в режиме ожидания разблокировки.

      Передача сигнала: ЭБУ сертификации (ЭБУ электронного ключа зажигания в сборе) → наружная ручка двери в сборе (антенна электронного ключа) → передатчик электронного ключа → приемник системы дистанционной блокировки дверей → ЭБУ сертификации (ЭБУ электронного ключа зажигания в сборе) → главный ЭБУ кузова (бортовой ЭБУ сети мультиплексной связи)

      Ожидаемая работа автомобиля

      Светодиод передатчика электронного ключа начинает мигать. Если это не так, проверьте предполагаемые участки согласно следующей таблице.

      Осциллограмма или значение выходного сигнала

      • Формирование импульсов (R1-17 (CLG1) - J41-18 (E)*1, *2)

      • Формирование импульсов (R1-18 (RCO) - J41-18 (E)*1, *2)

      • Формирование импульсов (R1-19 (RDAM) - J41-18 (E)*1, *2)

      • Формирование импульсов (R1-20 (CSEL) - J41-18 (E)*1, *2)

      • Формирование импульсов (S5-17 (CLG1) - J41-18 (E)*1, *3)

      • Формирование импульсов (S5-18 (RCO) - J41-18 (E)*1, *3)

      • Формирование импульсов (S5-19 (RDAM) - J41-18 (E)*1, *3)

      • Формирование импульсов (S5-20 (CSEL) - J41-18 (E)*1, *3)

      • *1: Нажмите здесьClick here

      • *2: для моделей с левосторонним рулевым управлением

      • *3: для моделей с правосторонним рулевым управлением

      Предполагаемый участок

      Диагностика

      Передатчик электронного ключа в сборе

      • Идентификационный код, переданный передатчиком электронного ключа, не соответствует идентификационному коду ключа, сохраненному в ЭБУ сертификации (ЭБУ электронного ключа зажигания в сборе). Используйте для проверки работы другой передатчик электронного ключа.

      • Если светодиод передатчика электронного ключа не мигает, когда он вносится в зону в пределах 0,7 м (2,30 фута) от наружной ручки передней двери в сборе (двери водителя), выполните следующую процедуру.

        Нажмите выключатели блокировки и разблокировки передатчика электронного ключа, чтобы проверить их работу. Если блокировка и разблокировка дверей возможны, это означает, что область обнаружения не формируется. Возможна неисправность деталей, отличных от передатчиков электронных ключей и наружных ручек передних дверей в сборе и наружных ручек задних дверей в сборе.

      • Если передатчик электронного ключа неисправен, система управления гибридной системой не запустится, и включение питания (ACC или IG) будет невозможно. В нормальном режиме контрольная лампа системы посадки отображается на мультиинформационном дисплее щитка приборов в сборе при нажатии выключателя питания, когда передатчик электронного ключа находится в области обнаружения сиденья водителя, рычаг переключения передач в положении P и педаль тормоза нажата. Если дверь водителя не открывается, используйте для ее открывания механический ключ, установленный в передатчике электронного ключа.

      Tip:
      • Перед заменой передатчика электронного ключа проверьте, не разряжена ли батарея передатчика.

      • Если дверь водителя не открывается, используйте для ее открывания механический ключ, установленный в передатчике электронного ключа.

      Батарея передатчика разряжена

      • Нажав и удерживая в течение 5 с кнопку блокировки на передатчике электронного ключа в сборе, проверьте, сколько раз мигает светодиод передатчика. Если светодиод передатчика электронного ключа в сборе не мигает, или мигает только один-два раза, может быть разряжена батарея передатчика. Если светодиод передатчика электронного ключа вообще не мигает, передатчик электронного ключа может быть неисправен.

      • Если напряжение батареи в момент передачи сигнала передатчиком электронного ключа падает до уровня 2,2 В или ниже, параметр "Key Low Battery" в режиме Data List имеет значение "Yes".

      • Если напряжение батареи передатчика падает до уровня 2,0 В или ниже, выполнение операции не гарантируется.

        Tip:

        Выходной сигнал передатчика электронного ключа уменьшается при низкой температуре.

      • Если батарея передатчика разряжена, система управления гибридной системой не запустится, и включение питания (ACC или IG) будет невозможно. Если передатчик электронного ключа удерживается рядом с выключателем питания, система управления гибридной системой может быть запущена.

      • Убедитесь, что в передатчик установлена правильная батарея с соблюдением полярности.

      Интерференция радиосигналов

      • Если неисправность проявляется только в определенном месте или в определенное время суток, высока вероятность электромагнитных помех.

      • Если передатчик электронного ключа неисправен, батарея передатчика разряжена, используется передатчик электронного ключа с другого автомобиля, либо предполагается наличие интерференции. Для любых параметров Data List из числа следующих отображается "Yes": "Unmatch Code or Form", "No Response", "ID Code Difference" или "Unmatched Vehicle-ID"

      ЭБУ сертификации (ЭБУ электронного ключа зажигания в сборе)

      -

      Главный ЭБУ кузова (бортовой ЭБУ сети мультиплексной связи)

      -

      Наружная ручка передней двери

      Наружная область обнаружения автомобиля не формируется должным образом.

      • Если светодиод передатчика электронного ключа не мигает в пределах 0,7 м (2,30 фута) от наружной ручки передней двери (со стороны водителя), но мигает в пределах 0,7 м (2,30 фута) от наружной ручки передней двери (со стороны переднего пассажира), может быть неисправна наружная ручка передней двери в сборе со стороны водителя.

      • Даже если наружная область обнаружения автомобиля не формируется должным образом, возможны включение питания (ACC) и запуск системы управления гибридной системой.

      • Формирование наружной области обнаружения автомобиля можно проверить с помощью GTS.

        Нажмите здесьClick here

      • Даже если наружная область обнаружения автомобиля не формируется должным образом, двери можно разблокировать, нажав переключатель разблокировки на передатчике электронного ключа.

      Приемник системы блокировки дверей

      • Если приемник системы управления замками дверей неисправен, разблокировка двери переднего пассажира и задней двери невозможна.

      • Если приемник системы дистанционной блокировки дверей неисправен, дистанционная разблокировка дверей невозможна.

      • Если приемник системы дистанционной блокировки дверей неисправен, запуск системы управления гибридной системой и включение питания (ACC или IG) невозможны, если только нет аварийной ситуации.

      • Формирование наружной области обнаружения автомобиля можно проверить с помощью GTS.

        Нажмите здесьClick here

      Аккумуляторная батарея разряжена

      Чтобы проверить, разряжена аккумуляторная батарея или нет, можно использовать звуковой сигнал.

      Прочие

      • Если функция системы посадки и запуска была выключена во время настройки, область обнаружения не формируется, поэтому светодиод передатчика электронного ключа не будет мигать, даже когда передатчик окажется рядом с наружной ручкой передней двери в сборе или наружной ручкой задней двери в сборе.

      • Если в системе посадки и запуска передатчик электронного ключа постоянно находится в наружной области обнаружения одной из дверей, батарея передатчика может разрядиться. По этой причине система посадки и запуска автоматически выключает наружную зону обнаружения, в которой находится передатчик электронного ключа, если данное состояние длится дольше 10 минут.

      • Если передатчик электронного ключа находится в режиме энергосбережения аккумуляторной батареи, он не передает ответные радиочастотные сигналы даже при приеме низкочастотных волн от автомобиля; поэтому светодиод передатчика электронного ключа не мигает.

      • Если передатчик электронного ключа остается в автомобиле, и двери блокируются с помощью другого передатчика электронного ключа, светодиод передатчика не будет мигать, даже когда он подносится к наружной ручке передней двери.

    3. Работа 3

      Принцип работы

      Прикоснитесь к датчику разблокировки на наружной ручке передней двери в сборе (двери водителя), когда передатчик электронного ключа находится в наружной области действия.

      Ожидаемая работа автомобиля

      Когда все двери разблокируются, подается подтверждающий сигнал обратной связи. Если этого не происходит, проверьте предполагаемые участки согласно следующей таблице.

      Осциллограмма или значение выходного сигнала

      • Формирование импульсов (R1-17 (CLG1) - J41-18 (E)*1, *2)

      • Контакты для подключения диагностического прибора (распределительный блок панели приборов в сборе (ACT-) – масса)*1, *2

      • Формирование импульсов (S5-17 (CLG1) - J41-18 (E)*1, *3)

      • Контакты для подключения диагностического прибора (распределительный блок панели приборов в сборе (ACT-) – масса)*1, *3

      • *1: Нажмите здесьClick here

      • *2: для моделей с левосторонним рулевым управлением

      • *3: для моделей с правосторонним рулевым управлением

      Предполагаемый участок

      Диагностика

      Указанные ниже предположительно неисправные детали перекрываются с деталями, определенными на шаге 2, когда светодиод передатчика электронного ключа не мигает.

      -

      Наружная ручка передней двери в сборе (датчик разблокировки)

      • Если двери можно разблокировать, прикоснувшись к датчику разблокировки в наружной ручке передней двери в сборе (двери переднего пассажира), имея при себе передатчик электронного ключа в сборе, датчик разблокировки датчику разблокировки в наружной ручке передней двери в сборе (двери водителя) может быть неисправен.

      • В нормальном режиме при касании датчика разблокировки параметр Data List "D-Door Touch Sensor" имеет значение "ON" (ВКЛ).

      Механизм блокировки/разблокировки двери

      Если невозможна блокировка/разблокировка двери с помощью выключателя блокировки на двери из салона, неисправен механизм блокировки двери.

    4. Принцип работы 4

      Принцип работы

      Сев в автомобиль с передатчиком электронного ключа, закройте дверь и нажмите один раз выключатель питания, не нажимая педаль тормоза, с рычагом переключения передач в положении P.

      Ожидаемая работа автомобиля

      • Контрольная лампа безопасности гаснет, после чего иммобилайзер отключается, и автомобиль может начать движение.

      • Рулевое колесо заблокировано.

      Если ничего из указанного выше не происходит, проверьте предполагаемые участки согласно следующей таблице.

      Tip:

      При нажатии выключателя питания внутренние антенны электронного ключа формируют область обнаружения в автомобиле и определяют наличие передатчика электронного ключа в салоне. Передатчик электронного ключа передает идентификационный код по получении сигнала запроса и кратковременно включает свой светодиод. Если после нажатия выключателя питания идентификационный код ключа, отправленный передатчиком электронного ключа в сборе, совпадает с идентификационным кодом ключа, хранящимся в ЭБУ сертификации (ЭБУ электронного ключа зажигания в сборе), реле ACC включается и на мультиинформационном дисплее щитка приборов в сборе отображается контрольная лампа системы посадки. После изменения режима источника питания производится сверка кодов L и S, рулевое колесо разблокируется, и иммобилайзер выключается. После этого состояние параметра "Immobiliser" в режиме Data List изменяется с "Set" на "Unset".

      Передача сигнала: ЭБУ сертификации (ЭБУ электронного ключа зажигания) → внутренняя антенна электронного ключа → передатчик электронного ключа → приемник системы управления замками дверей → ЭБУ сертификации (ЭБУ электронного ключа зажигания)

      Tip:

      Внутренняя область обнаружения формируется при выполнении любого из следующих условий:

      • Открывается какая-либо дверь.

      • Какая-либо дверь была открыта и закрыта (формируется в течение приблизительно 30 с).

      • Была нажата педаль тормоза (формируется в течение приблизительно 30 с).

      • Выключатель питания нажат.

      Осциллограмма или значение выходного сигнала

      • Формирование импульсов (R1-19 (RDAM) - J41-18 (E)*1, *2)

      • Формирование импульсов (J41-8 (CLG5) - J41-18 (E)*1, *2)

      • Формирование импульсов (J41-17 (IG1D) - J41-18 (E)*1, *2)

      • Формирование импульсов (S5-19 (RDAM) - J41-18 (E)*1, *3)

      • Формирование импульсов (J41-8 (CLG5) - J41-18 (E)*1, *3)

      • Формирование импульсов (J41-17 (IG1D) - J41-18 (E)*1, *3)

      • *1: Нажмите здесьClick here

      • *2: для моделей с левосторонним рулевым управлением

      • *3: для моделей с правосторонним рулевым управлением

      Предполагаемый участок

      Диагностика

      ЭБУ сертификацией (ЭБУ электронным ключом зажигания в сборе)

      -

      Интерференция радиосигналов

      • Если неисправность происходит в определенном месте или в определенное время, причиной может быть интерференция.

      • Если предполагается интерференция радиоволн в салоне, отсоедините разъемы электронных устройств, кроме стандартного оборудования, либо снимите электронные устройства и проверьте наличие электрических помех.

      Внутренние антенны электронного ключа, которые формируют области обнаружения в салоне

      • Если область обнаружения в салоне не формируется должным образом, запуск системы управления гибридной системой и включение питания (ACC или IG) будут невозможны. В аварийной ситуации передатчик электронного ключа в сборе может удерживаться рядом с выключателем питания, чтобы запустить систему управления гибридной системой.

      • С помощью GTS перейдите в режим диагностики, чтобы принудительно сформировать область обнаружения в салоне. Когда передатчик электронного ключа оказывается рядом с зоной, подается короткий звуковой сигнал.

        Нажмите здесьClick here

      Выключатель питания

      В нормальном режиме после нажатия выключателя питания для параметров режима Data List "Start Switch1" и "Start Switch2" отображается ON (ВКЛ).

      Блок идентификационного кода (ЭБУ кода иммобилайзера)

      Чтобы разблокировать рулевое колесо, необходимо, чтобы параметр "S Code Check" в режиме Data List имел значение "OK". Если параметр "S Code Check" имеет значение "OK", коды ЭБУ сертификации (ЭБУ электронного ключа зажигания в сборе) и блока идентификационного кода (ЭБУ кода иммобилайзера) совпадают.

      Датчик положения паркинга/нейтрали в сборе

      При нормальных условиях для параметра "Neutral SW/ Clutch SW" режима Data List отображается "ON", когда рычаг переключения передач находится в положении P.

      ЭБУ блокировки рулевого управления (привод блокировки рулевого управления верхний кронштейн в сборе)

      • Если параметр режима Data List "L Code Check" имеет значение "OK", когда питание включено (ACC), примерно на 10 с будет подано питание на электродвигатель рулевого управления. Затем ЭБУ передает сигнал разблокировки для электродвигателя рулевого управления, и значение параметра Data List "Unlock Request Receive" временно изменяется с "NG" на "OK". После разблокировки рулевого управления ЭБУ принимает сигнал разблокировки от электродвигателя рулевого управления, и значение параметра Data List "Steering Unlock" изменяется с "Unset" на "Set".

      • Для разблокировки рулевого колеса необходимо, чтобы параметр "L Code Check" в режиме Data List принимал значение "OK" (идентификационный код, сохраненный в ЭБУ блокировки рулевого управления (приводе блокировки рулевого управления или верхнем кронштейне в сборе), был согласован с кодом блока идентификационного кода (ЭБУ кода иммобилайзера)).

    5. Принцип работы 5

      Operation

      Нажмите на педаль тормоза с рычагом переключения передач в положении P, имея при себе передатчик электронного ключа.

      Ожидаемая работа автомобиля

      На мультиинформационном дисплее появляется контрольная лампа системы посадки. Если это не так, проверьте предполагаемые участки согласно следующей таблице.

      Предполагаемый участок

      Диагностика

      Выключатель стоп-сигналов в сборе

      При нажатой педали тормоза параметр Data List "Stop Light Switch1" имеет значение "ON" (ВКЛ).

      ЭБУ сертификацией (ЭБУ электронным ключом зажигания в сборе)

      Функция запуска – контакты ЭБУ

      Нажмите здесьClick here

    6. Работа 6

      Принцип работы

      Сев в автомобиль с передатчиком электронного ключа, нажмите выключатель питания, нажимая педаль тормоза, с рычагом переключения передач в положении P.

      Ожидаемая работа автомобиля

      Система управления гибридной системой запускается. Если это не так, проверьте предполагаемые участки согласно следующей таблице.

      Предполагаемый участок

      Диагностика

      Система блокировки рулевого управления

      При нормальных условиях рулевое колесо будет разблокировано, и параметр "Steering Unlock Switch" режима Data List будет иметь значение "ON".

      Вспомогательная аккумуляторная батарея разряжена

      Разряжена ли вспомогательная аккумуляторная батарея автомобиля, можно легко проверить, включив звуковой сигнал.

    7. Принцип работы 7

      Принцип работы

      Нажмите выключатель питания.

      Ожидаемая работа автомобиля

      Система управления гибридной системой прекращает работу, контрольная лампа системы посадки включается, а затем гаснет, контрольная лампа безопасности из постоянно включенного состояния переходит в режим мигания.

    8. Работа 8

      Работа

      Выключите питание и откройте какую-либо дверь.

      Ожидаемая работа автомобиля

      Рулевое управление блокируется. Если это не так, проверьте предполагаемые участки согласно следующей таблице.

      Предполагаемый участок

      Диагностика

      Система блокировки рулевого управления

      -

      Выключатель освещения дверного проема в сборе

      При отркывании двери водителя для параметра Data List "FL Door Courtesy SW" отображается "ON".*1

      При отркывании двери водителя для параметра Data List "FR Door Courtesy SW" отображается "ON".*2

      • *1: для моделей с левосторонним рулевым управлением

      • *2: Для моделей с правосторонним рулевым управлением

    9. Принцип работы 9

      Принцип работы

      Прикоснитесь к датчику блокировки на наружной ручке передней двери в сборе (двери водителя), имея при себе передатчик электронного ключа.

      Ожидаемая работа автомобиля

      Блокировка дверей и функция обратной связи выполняются одновременно.

  6. ФУНКЦИЯ ЭНЕРГОСБЕРЕЖЕНИЯ ВСПОМОГАТЕЛЬНОЙ АККУМУЛЯТОРНОЙ БАТАРЕИ

    1. В процессе работы системы посадки и запуска автомобиль выполняет операции обнаружения ключа каждые 0,25 с. Поэтому, если автомобиль длительное время простаивает, вспомогательная аккумуляторная батарея может полностью разрядиться. Снизить темп разрядки аккумуляторной батареи помогают следующие меры.

      1. Если система посадки и запуска не включается 5 дней и более, периодическая передача сигнала с антенн электронного ключа прекращается. Однако двери могут быть разблокированы прикосновением к датчику разблокировки в наружной ручке передней двери в сборе или наружной ручке задней двери в сборе.

      2. Если система посадки и запуска не включается 14 дней и более, датчики блокировки и разблокировки в наружной ручке передней двери в сборе (двери переднего пассажира) и наружных ручках задних дверей в сборе отключаются. Поэтому для разблокировки дверей можно использовать только датчик разблокировки в наружной ручке передней двери со стороны водителя.

      3. Если передатчик электронного ключа находится во внешней области обнаружения 10 мин и более, наружная ручка передней двери (антенна электронного ключа) или наружная ручка задней двери (антенна электронного ключа), регистрирующая передатчик электронного ключа, прекращает работу.

    2. Для восстановления работы системы посадки и запуска выполните любую из следующих операций.

      1. Имея при себе передатчик электронного ключа, прикоснитесь к датчику блокировки или разблокировки в наружной ручке передней двери со стороны водителя и выполните операцию блокировки или разблокировки.

      2. Заблокируйте или разблокируйте двери с помощью функции дистанционного управления.

      3. Вставьте механический ключ в цилиндр замка двери водителя и заблокируйте или разблокируйте двери.

  7. ФУНКЦИЯ РЕГУЛИРОВКИ ГРОМКОСТИ ЗУММЕРА СИСТЕМЫ ДИСТАНЦИОННОГО УПРАВЛЕНИЯ ЗАМКАМИ ДВЕРЕЙ

    1. Громкость зуммера системы дистанционной блокировки дверей можно изменить путем настройки, выполняемой пользователем.

      Tip:

      Громкость следующих операций зуммера системы дистанционной блокировки дверей не регулируется.

      • Работа зуммера для поддержки функций предупреждения

      • Работа зуммера для поддержки настраиваемых функций

      • Работа зуммера в режиме диагностики ключа с помощью GTS

      • Работа зуммера при регистрации ключа

      • *: для моделей с функцией обратной сигнализации зуммера системы дистанционной блокировки дверей

  8. ФУНКЦИЯ ПРЕДУПРЕЖДЕНИЯ

    1. Предупреждение

      1. Ситуация: Когда водитель покидает автомобиль, гибридная система остается включенной, а рычаг переключения передач не находится в положении P.

        • Этой ситуации соответствуют 2 случая.

          • Случай 1:

            Когда рычаг переключения передач находится в положении, отличном от P, и система управления гибридной системой работает, водитель открывает дверь и пытается покинуть автомобиль.

            В данной ситуации выполняются следующие действия:

            Причина предупреждения

            Предотвращение внезапного разгона, противоугонная система автомобиля, предотвращение отката автомобиля

            Условие начала предупреждения

            (выполняются все условия)

            • Питание включено (ACC или IG).

            • Рычаг переключения передач находится в любом положении, кроме P.

            • Дверь водителя открыта.

            • Скорость автомобиля не регистрируется.

            Описание предупреждения

            • Непрерывно звучит зуммер в щитке приборов.

            • На мультиинформационном дисплее в щитке приборов в сборе отображается сообщение "Shift to P Before Exiting Vehicle" (установите рычаг переключения передач в положение P перед выходом из автомобиля).

            Условие прекращения выдачи предупреждения

            (выполняется одно из условий)

            • Питание выключено.

            • Рычаг переключения передач находится в положении P.

            • Дверь водителя закрыта.

            • Скорость автомобиля не ниже 5 км/час (3 миль в час).

          • Случай 2:

            В условиях случая 1 водитель закрывает дверь и пытается оставить автомобиль, унося с собой передатчик электронного ключа.

            В данной ситуации выполняются следующие действия:

            Причина предупреждения

            Предотвращение внезапного разгона, противоугонная система автомобиля, предотвращение отката автомобиля

            Условие начала предупреждения

            (выполняются все условия)

            • Питание включено (ACC или IG).

            • Рычаг переключения передач находится в любом положении, кроме P.

            • Дверь водителя открыта → закрыта.

            • Передатчик электронного ключа в сборе отсутствует в автомобиле.

            • Скорость автомобиля не регистрируется.

            Описание предупреждения

            • Непрерывно звучит зуммер в щитке приборов.

            • Зуммер системы дистанционного управления замками дверей звучит непрерывно. *

            • На мультиинформационном дисплее в щитке приборов в сборе попеременно отображаются сообщения "Shift to P Before Exiting Vehicle" (переведите рычаг переключения передач в положение P перед выходом из автомобиля) (А) и "Key Not Detected Check Key Location" (ключ не обнаружен, установите местонахождение ключа) (В).

            Условие прекращения выдачи предупреждения

            (выполняется одно из условий)

            Условия прекращения отображения сообщения (А)

            • Рычаг переключения передач находится в положении P.

            • Скорость автомобиля равна 5 км/час (3 мили в час).

            Условия прекращения отображения сообщения (В)

            • Питание выключено.

            • Передатчик электронного ключа в сборе возвращен в автомобиль.

            • *: для моделей с функцией обратной сигнализации зуммера системы дистанционной блокировки дверей

      2. Ситуация: Подается звуковой сигнал предупреждения об оставлении ключа.

        • Этой ситуации соответствуют 3 случая.

          • Случай 1:

            Когда рычаг переключения передач находится в положении P и рулевое управление разблокировано, водитель открывает дверь и пытается покинуть автомобиль.

            В данной ситуации выполняются следующие действия:

            Причина предупреждения

            Противоугонная система автомобиля

            Условие начала предупреждения

            (предупреждение выводится, если условие 1 или условие 2 выполняется в течение 1 с)

            Состояние 1

            • Выключатель питания установлен состояние ON (ВКЛ) (ACC).

            • Дверь водителя открыта.

            Состояние 2

            • Питание выключено.

            • Рулевое колесо заблокировано.

            • Дверь водителя открыта.

            Описание предупреждения

            • Зуммер в щитке приборов звучит непрерывно через краткие равные интервалы.

            Условие прекращения выдачи предупреждения

            (выполняется одно из условий)

            • Включается питание (IG).

            • Дверь водителя закрыта.

            • Включается питание, и рулевое управление блокируется.

          • Случай 2:

            В условиях случая 1 водитель закрывает дверь и пытается покинуть автомобиль, унося с собой передатчик электронного ключа в сборе.

            В данной ситуации выполняются следующие действия:

            Причина предупреждения

            Противоугонная система автомобиля

            Условие начала предупреждения

            (выполняются все условия)

            • Питание включено (ACC или IG).

            • Рычаг переключения передач находится в положении P.

            • Дверь водителя открыта → закрыта.

            • Передатчик электронного ключа в сборе отсутствует в автомобиле.

            • Скорость автомобиля не регистрируется.

            Описание предупреждения

            • Зуммер в щитке приборов издает однократный звуковой сигнал.

            • 3 раза звучит зуммер системы дистанционного управления замками дверей. *

            • На мультиинформационном дисплее в щитке приборов в сборе отображается сообщение "Key Not Detected Check Key Location" (ключ не обнаружен, установите местонахождение ключа).

            Условие прекращения выдачи предупреждения

            (выполняется любое из условий)

            • Питание выключено.

            • Передатчик электронного ключа в сборе возвращен в автомобиль.

            • *: для моделей с функцией обратной сигнализации зуммера системы дистанционной блокировки дверей

          • Случай 3:

            В условиях случая 2 водитель касается датчика блокировки на наружной ручке двери в сборе.

            В данной ситуации выполняются следующие действия:

            Причина предупреждения

            Противоугонная система автомобиля

            Условие начала предупреждения

            (выполняются все условия)

            • Питание включено (ACC или IG).

            • Рычаг переключения передач находится в положении P.

            • Передатчик электронного ключа не находится во внутренних областях обнаружения.

            • Передатчик электронного ключа находится в областях обнаружения снаружи автомобиля.

            • Датчик блокировки включен.

            • Скорость автомобиля не регистрируется.

            Описание предупреждения

            • Зуммер в щитке приборов издает однократный звуковой сигнал.

            • Зуммер системы дистанционного управления замками дверей звучит непрерывно. *

            • На мультиинформационном дисплее в щитке приборов в сборе попеременно отображаются сообщения "Turn Off Vehicle" (выключите питание автомобиля) (А) и "Key Not Detected Check Key Location" (ключ не обнаружен, установите местонахождение ключа) (В).

            Условие прекращения выдачи предупреждения

            (выполняется одно из условий)

            • Истекло 5 с с момента начала выдачи предупреждения (выключается только зуммер системы дистанционной блокировки дверей). *

            • Открывается любая дверь (выключается только зуммер системы дистанционной блокировки дверей). *

            • Закрывается любая дверь (выключается только зуммер системы дистанционной блокировки дверей). *

            Условия прекращения отображения сообщения (А)

            • С момента выдачи предупреждения прошло 60 с.

            • Питание выключено.

            • Рычаг переключения передач находится в любом положении, кроме P.

            • Скорость автомобиля равна 5 км/час (3 мили в час).

            Условия прекращения отображения сообщения (В)

            • Питание выключено.

            • Передатчик электронного ключа в сборе возвращен в автомобиль.

            • *: для моделей с функцией обратной сигнализации зуммера системы дистанционной блокировки дверей

      3. Ситуация: Пассажир покидает автомобиль, унося с собой передатчик электронного ключа в сборе.

        • Когда выключатель питания включен (АСС) или (IG), пассажир открывает любую дверь, кроме двери водителя, и пытается покинуть автомобиль, унося с собой передатчик электронного ключа в сборе.

          В данной ситуации выполняются следующие действия:

          Причина предупреждения

          Предотвращение невозможности повторного запуска автомобиля

          Условие начала предупреждения

          (выполняются все условия)

          • Питание включено (ACC или IG).

          • Какая-либо дверь помимо двери водителя открыта → закрыта.

          • Передатчик электронного ключа в сборе отсутствует в автомобиле.

          • Скорость автомобиля не регистрируется.

          Описание предупреждения

          • Зуммер в щитке приборов издает однократный звуковой сигнал.

          • 3 раза звучит зуммер системы дистанционного управления замками дверей. *

          • На мультиинформационном дисплее в щитке приборов в сборе отображается сообщение "Key Not Detected Check Key Location" (ключ не обнаружен, установите местонахождение ключа).

          Условие прекращения выдачи предупреждения

          (выполняется любое из условий)

          • Питание выключено.

          • Передатчик электронного ключа в сборе возвращен в автомобиль.

          • *: для моделей с функцией обратной сигнализации зуммера системы дистанционной блокировки дверей

      4. Ситуация: Передатчик электронного ключа не находится в областях обнаружения внутри или снаружи автомобиля.

        • Водитель пытается включить выключатель питания (IG), когда передатчик электронного ключа в сборе не находится в салоне, или пытается изменить режим источника питания, прикоснувшись передатчиком электронного ключа в сборе к выключателю питания.

          В данной ситуации выполняются следующие действия:

          Причина предупреждения

          Предотвращение замешательства пользователя

          Условие начала предупреждения

          (выполняются все условия)

          • Система иммобилайзера включена.

          • Передатчик электронного ключа не находится в автомобиле, или батарея передатчика разряжена. (Произошел сбой внутренней верификации или сбой верификации произошел, если передатчик электронного ключа в сборе коснулся выключателя питания при разряженной батарее передатчика.)

          • При нажатии выключателя питания не обнаруживается никаких записей о разблокировке дверей с помощью механического ключа и записей о сбое верификации.

          Описание предупреждения

          • Зуммер в щитке приборов издает однократный звуковой сигнал.

          • На мультиинформационном дисплее в щитке приборов в сборе отображается сообщение "Key Not Detected Check Key Location" (ключ не обнаружен, установите местонахождение ключа).

          Условие прекращения выдачи предупреждения

          (выполняется одно из условий)

          • С момента выдачи предупреждения прошло 15 с.

          • Передатчик электронного ключа в сборе возвращен в автомобиль. (Внутренняя верификация прошла успешно или прохождение верификации произошло, когда передатчик электронного ключа в сборе коснулся выключателя питания при разряженной батарее передатчика.)

          • Дверь водителя открывается с помощью наружной ручки двери и истекло 30 с.

      5. Ситуация: Управление автомобилем осуществляется без зарегистрированного передатчика электронного ключа.

        • В данной ситуации выполняются следующие действия:

          Причина предупреждения

          Предотвращение невозможности повторного запуска автомобиля

          Условие начала предупреждения

          (выполняются все условия)

          • Выключатель питания находится в состоянии ON (ВКЛ) (IG).

          • Предупреждение выдается, если пассажир покидает автомобиль, унося с собой передатчик электронного ключа в сборе.

          • Скорость автомобиля не ниже 5 км/час (3 миль в час).

          • Передатчик электронного ключа в сборе отсутствует в автомобиле.

          Описание предупреждения

          • Зуммер в щитке приборов подает девять сигналов.

          • На мультиинформационном дисплее в щитке приборов в сборе отображается сообщение "Key Not Detected Check Key Location" (ключ не обнаружен, установите местонахождение ключа).

          Условие прекращения выдачи предупреждения

          (выполняется любое из условий)

          • Передатчик электронного ключа в сборе возвращен в автомобиль.

          • Питание выключено.

      6. Ситуация: Передатчик электронного ключа оставлен в автомобиле.

        Касание датчика блокировки на наружной ручке двери в сборе для выполнения блокировки системой посадки происходит, когда передатчик электронного ключа находится в автомобиле.

        В данной ситуации выполняются следующие действия:

        Причина предупреждения

        Противоугонная система автомобиля

        Условие начала предупреждения

        (выполняются все условия)

        • Питание выключено.

        • Все двери закрыты.

        • Передатчик электронного ключа находится в автомобиле.

        • Датчик блокировки на наружной ручке двери в сборе находится во включенном состоянии (регистрируется касание датчика).

        • Какая-либо из дверей разблокирована.

        • Скорость автомобиля не регистрируется.

        Описание предупреждения

        • Зуммер системы дистанционного управления замками дверей звучит непрерывно. *

        • На мультиинформационном дисплее в щитке приборов в сборе отображается сообщение "Key Left inside Vehicle" (ключ оставлен в салоне).

        Условие прекращения выдачи предупреждения

        (выполняется одно из условий)

        • Истекло 5 с после включения зуммера системы дистанционного управления замками дверей (выключается только зуммер системы дистанционной блокировки дверей). *

        • Питание включено (ACC или IG).

        • Скорость автомобиля не ниже 5 км/час (3 миль в час).

        • Открывается любая дверь (выключается только зуммер системы дистанционной блокировки дверей). *

        • Двери заблокированы.

        • С момента выдачи предупреждения прошло 60 с.

        • *: для моделей с функцией обратной сигнализации зуммера системы дистанционной блокировки дверей

      7. Ситуация: Дверь закрыта неплотно.*1

        • Касание датчика блокировки на наружной ручке двери в сборе для выполнения блокировки посредством системы посадки происходит при открытой двери.

          В данной ситуации выполняются следующие действия:

          Причина предупреждения

          Противоугонная система автомобиля

          Условие начала предупреждения

          (выполняются все условия)

          • Питание выключено.

          • Открыта какая-либо дверь, кроме той, для которой выполняется операция блокировки системы посадки*2.

          • Нажат датчик блокировки или выключатель блокировки на передатчике электронного ключа.

          • Передатчик электронного ключа находится в областях обнаружения снаружи автомобиля.

          Описание предупреждения

          • Зуммер системы дистанционного управления замками дверей звучит непрерывно.

          Условие прекращения выдачи предупреждения

          (выполняется одно из условий)

          • Истекло 5 с после включения зуммера системы дистанционного управления замками дверей.

          • Питание включено (ACC или IG).

          • Все двери закрыты*2.

          • Двери разблокируются с помощью функции разблокировки системы дистанционного управления замками дверей.

          • Двери разблокируются с помощью функции разблокировки системы посадки.

          • Открыта какая-либо из дверей.

        • *1: для моделей с зуммером предупреждения о неплотно закрытой двери

        • *2: Дверь багажного отделения считается закрытой во время работы автоматизированной двери багажного отделения.

      8. Ситуация: Передатчик электронного ключа заперт в автомобиле.

        • Передатчик электронного ключа заперт в автомобиле.

          В данной ситуации выполняются следующие действия:

          Причина предупреждения

          Противоугонная система автомобиля

          Условие начала предупреждения

          Состояние 1 (выполняются все условия)

          • Кнопка блокировки устанавливается в положение блокировки при открытой двери, а затем дверь закрывается с оттянутой ручкой двери или автоматизированная дверь багажного отделения закрывается и блокируется функцией резервной блокировки системы посадки для автоматизированной двери багажного отделения.

          • Передатчик электронного ключа в сборе находится в автомобиле.

          • Скорость автомобиля не регистрируется.

          Состояние 2 (выполняются все условия)*1

          • Питание выключено.

          • Все двери закрыты и заблокированы.

          • Выполняется операция блокировки, отличная от блокировки системы посадки.

          • Передатчик электронного ключа в сборе находится внутри автомобиля (в салоне автомобиля обнаружен совпадающий код).

          Описание предупреждения

          • Зуммер в щитке приборов издает однократный звуковой сигнал.

          • Зуммер системы дистанционного управления замками дверей звучит непрерывно.*2

          • На мультиинформационном дисплее в щитке приборов в сборе отображается сообщение "Key Left inside Vehicle" (ключ оставлен в салоне).

          Условие прекращения выдачи предупреждения

          (выполняется одно из условий)

          • Истекло 5 с с момента включения зуммера системы дистанционного управления замками дверей (выключается только зуммер системы дистанционного управления замками дверей).*2

          • С момента выдачи предупреждения прошло 60 с.

          • Источник питания переключается в любой режим, кроме выключенного.

          • Открывается любая дверь (выключается только зуммер системы дистанционного управления замками дверей).*2

          • Двери заблокированы.

          • Скорость автомобиля не ниже 5 км/час (3 миль в час).

        • *1: для моделей с системой двойной блокировки

        • *2: для моделей с функцией обратной сигнализации зуммера системы дистанционной блокировки дверей

      9. Ситуация: Батарея передатчика разряжена.

        • Управление автомобилем осуществляется с использованием передатчика электронного ключа, батарея которого разряжена.

          В данной ситуации выполняются следующие действия:

          Причина предупреждения

          Предотвращение невозможности повторного запуска автомобиля, нарушение эксплуатационной пригодности

          Условие начала предупреждения

          (выполняется условие 1 или 2)

          Состояние 1 (выполняются все условия)

          • Выключатель питания переведен в состояние OFF (ВЫКЛ) после нахождения в состоянии ON (ВКЛ) (IG) более 20 мин.

          • Напряжение батареи передатчика мало.

          • Передатчик электронного ключа в сборе находится в автомобиле.

          • Скорость автомобиля не регистрируется.

          Состояние 2 (выполняются все условия)

          • Система управления гибридной системой выключена → система управления гибридной системой запускается

          • Напряжение батареи передатчика мало.

          • Передатчик электронного ключа в сборе находится в автомобиле.

          • Скорость автомобиля не регистрируется.

          • Выполняется условие 1. (В прошлом)

          Описание предупреждения

          • Зуммер в щитке приборов издает однократный звуковой сигнал.

          • На мультиинформационном дисплее в щитке приборов отображается сообщение "Key Battery Low" (низкий заряд батареи ключа).

          Условие прекращения выдачи предупреждения

          (выполняется любое из условий)

          • С момента выдачи предупреждения прошло 15 с.

          • Скорость автомобиля не ниже 5 км/час (3 миль в час).

      10. Ситуация: Рулевое управление не разблокируется.

        • Блокировка рулевого управления не снимается, поэтому запуск системы управления гибридной системой невозможен.

          Перед разблокировкой рулевого управления рычаг переключения передач переводится в любое положение, кроме P.

          В данной ситуации выполняются следующие действия:

          Причина предупреждения

          Функция удобства использования

          Условие начала предупреждения

          • Рулевое управление не может быть разблокировано (по оценке ЭБУ блокировки рулевого управления (привода блокировки рулевого управления или верхнего кронштейна в сборе)).

          Описание предупреждения

          • Зуммер в щитке приборов издает однократный звуковой сигнал.

          • На мультиинформационном дисплее щитка приборов отображается сообщение "Steering Wheel Lock Press Power Switch while Turning Wheel" (блокировка рулевого управления активна, нажмите выключатель питания во время поворота рулевого колеса).

          Условие прекращения выдачи предупреждения

          (выполняется любое из условий)

          • С момента выдачи предупреждения прошло 15 с.

          • Рулевое колесо заблокировано.

      11. Ситуация: Функция запуска и посадки неисправна.

        • Обнаруживается недопустимый сигнал скорости автомобиля или неисправность, препятствующая работе ЭБУ блокировки рулевого управления (привода блокировки рулевого управления или верхнего кронштейна в сборе).

          В данной ситуации выполняются следующие действия:

          Причина предупреждения

          Обнаружение неисправности

          Условие начала предупреждения

          (выполняется одно из условий)

          • Неисправность ЭБУ блокировки рулевого управления (привода блокировки рулевого управления или верхнего кронштейна в сборе), ЭБУ сертификации (ЭБУ электронного ключа зажигания) или датчика разблокировки.

          • Скорость автомобиля признана ненормальной, либо произошел сбой передачи сигнала скорости автомобиля.

          Описание предупреждения

          • Зуммер в щитке приборов издает однократный звуковой сигнал.

          • На мультиинформационном дисплее в щитке приборов отображается сообщение "Smart Entry & Start System Malfunction See Owner's Manual" (неисправность системы посадки и запуска, см. руководство по эксплуатации).

          Условие прекращения выдачи предупреждения

          (выполняется любое из условий)

          • С момента выдачи предупреждения прошло 15 с.

          • Система возвращается в нормальный режим работы.

      12. Ситуация: система управления гибридной системой не запускается. (ситуация А)

        • Когда дверь водителя открывается с помощью механического ключа и нажимается выключатель питания, передатчик электронного ключа в сборе не определяется в салоне автомобиля. Передатчик электронного ключа в сборе также не определяется два раза подряд после нажатия выключателя питания.

          В данной ситуации выполняются следующие действия:

          Причина предупреждения

          Функция удобства использования

          Условие начала предупреждения

          (выполняется одно из условий)

          • Система иммобилайзера включена.

          • Передатчик электронного ключа в сборе отсутствует в автомобиле.

          • При двукратном нажатии выключателя питания или разблокировке с помощью ключа двери водителя возникает ошибка проверки подлинности кода ключа.

          Описание предупреждения

          • Зуммер в щитке приборов издает однократный звуковой сигнал.

          • На мультиинформационном дисплее в щитке приборов в сборе отображается сообщение "Depress Brake and Then Touch Key to Power switch" (нажмите педаль тормоза, затем прикоснитесь к выключателю питания).

          Условие прекращения выдачи предупреждения

          (выполняется одно из условий)

          • С момента выдачи предупреждения прошло 60 с.

          • Передатчик электронного ключа в сборе находится в автомобиле. (Внутренняя верификация прошла успешно или прохождение верификации произошло, когда передатчик электронного ключа в сборе коснулся выключателя питания при разряженной батарее передатчика.)

          • Дверь водителя открывается с помощью наружной ручки передней двери в сборе (со стороны водителя) и истекло 30 с.

      13. Ситуация: Сертификация в системе иммобилайзера завершена.

        • Батарея передатчика разряжена, работа системы посадки и запуска отменена или имеет место интерференция, передатчик электронного ключа в сборе касается выключателя питания.

          В данной ситуации выполняются следующие действия:

          Причина предупреждения

          Функция удобства использования

          Условие начала предупреждения

          • Положительный результат сертификации передатчика электронного ключа.

          Описание предупреждения

          • Зуммер в щитке приборов издает однократный звуковой сигнал.

          • На мультиинформационном дисплее в щитке приборов в сборе отображается сообщение "Depress Brake and Power to Start" (нажмите педаль тормоза и нажмите выключатель питания для запуска).

          Условие прекращения выдачи предупреждения

          (выполняется одно из условий)

          • С момента выдачи предупреждения прошло 10 с.

          • Передатчик электронного ключа обнаружен автомобилем.

          • Система управления гибридной системой запущена.

          • Автомобиль может начать движение.

          • Система иммобилайзера включена, и опознавание ключа остановлено, либо ключ не опознается.

      14. Ситуация: система управления гибридной системой не запускается. (ситуация В)

        • Этой ситуации соответствуют два случая.

          • Случай 1:

            Запуск системы управления гибридной системой возможен (когда водитель садится в автомобиль или выключатель питания включается (АСС)).

            В данной ситуации выполняются следующие действия:

            Причина предупреждения

            Функция удобства использования

            Условие начала предупреждения

            (выполняется любое из условий)

            • Дверь водителя открывается после разблокировки всех дверей снаружи автомобиля при выключенном выключателе питания.

            • Выключатель питания включается (АСС) при нажатой педали тормоза.

            Описание предупреждения

            (не отображается во время отображения приветственного изображения.)

            • На мультиинформационном дисплее в щитке приборов в сборе отображается сообщение "Depress Brake and Power to Start" (нажмите педаль тормоза и нажмите выключатель питания для запуска).

            Условие прекращения выдачи предупреждения

            (выполняется одно из условий)

            • С момента выдачи предупреждения прошло 19 с.

            • Система управления гибридной системой запускается.

            • Двери блокируются снаружи автомобиля.

            • Двери блокируются с помощью функции дистанционной блокировки дверей.

          • Случай 2:

            Система управления гибридной системой может быть запущена (когда включено питание (IG)).

            В данной ситуации выполняются следующие действия:

            Причина предупреждения

            Функция удобства использования

            Условие начала предупреждения

            (выполняется любое из условий)

            • Питание включается (IG), когда педаль тормоза не нажата (система управления гибридной системой не запускается).

            • Выключатель питания включен (IG) (система управления гибридной системой не запускается), рычаг переключения передач перемещается из любого положения, кроме P, в положение Р.

            Описание предупреждения

            • На мультиинформационном дисплее в щитке приборов в сборе отображается сообщение "Depress Brake and Power to Start" (нажмите педаль тормоза и нажмите выключатель питания для запуска).

            Условие прекращения выдачи предупреждения

            (выполняется одно из условий)

            • Источник питания переключается в любой режим, кроме ON (ВКЛ) (IG).

            • Скорость автомобиля не ниже 5 км/час (3 миль в час).

            • Рычаг переключения передач установлен в любое положение, кроме P.

      15. Ситуация: Не удается выключить питание.

        • Этой ситуации соответствуют 2 случая.

          • Случай 1:

            При попытке водителя выключить питание, когда рычаг переключения передач находится в каком-либо положении, кроме P, на мультиинформационном дисплее появляется предупреждающее сообщение.

            В данной ситуации выполняются следующие действия:

            Назначение предупреждения

            Предотвращение разряда вспомогательной аккумуляторной батареи, предотвращение отката автомобиля

            Условие начала предупреждения

            • Выключатель питания выключается, когда рычаг переключения передач находится в любом положении, кроме Р. (За исключением аварийной остановки, когда выключатель питания быстро нажимается 3 раза или когда выключатель питания удерживается нажатым в течение не менее 2 с.)

            Описание предупреждения

            • Зуммер в щитке приборов издает однократный звуковой сигнал.

            • На мультиинформационном дисплее в щитке приборов в сборе отображается сообщение "Shift to P Before Exiting Vehicle" (установите рычаг переключения передач в положение P перед выходом из автомобиля).

            Условие прекращения выдачи предупреждения

            (выполняется любое из условий)

            • Рычаг переключения передач переводится в положение P.

            • Источник питания переключается в любой режим, кроме ON (ВКЛ) (ACC).

          • Случай 2:

            В ситуации случая 1 рычаг переключения передач переводится в положение P.

            В данной ситуации выполняются следующие действия:

            Назначение предупреждения

            Предотвращение разряда вспомогательной аккумуляторной батареи

            Условие начала предупреждения

            • Рычаг переключения передач переводится в положение P.

            Описание предупреждения

            • Зуммер в щитке приборов издает однократный звуковой сигнал.

            • На мультиинформационном дисплее щитка приборов отображается сообщение "Turn Off Vehicle" (выключите питание)

            Условие прекращения выдачи предупреждения

            (выполняется любое из условий)

            • Источник питания переключается в любой режим, кроме ON (ВКЛ) (ACC).

            • Рычаг переключения передач находится в любом положении, кроме P.

      16. Ситуация: Происходит автоматическое отключение питания.

        • При автоматическом выключении питания на мультиинформационном дисплее появляется предупреждающее сообщение.

          В данной ситуации выполняются следующие действия:

          Причина предупреждения

          Функция удобства использования

          Условие начала предупреждения

          (выполняются все условия)

          • Рычаг переключения передач находится в положении P.

          • Питание включено (ACC или IG).

          • Скорость автомобиля не обнаружена и работа системы управления гибридной системой остановлена.

          • Режим источника питания меняется на выключенный функцией автоматического выключения питания. (20 мин прошло после включения выключателя питания (АСС) или прошел 1 час после включения выключателя питания (IG).)

          Описание предупреждения

          • На мультиинформационном дисплее в щитке приборов в сборе отображается сообщение "Power Turned Off to Save Battery" (питание выключено для сохранения заряда аккумуляторной батареи).

          Условие прекращения выдачи предупреждения

          (выполняется любое из условий)

          • С момента выдачи предупреждения прошло 10 с.

          • Выключатель питания переводится в состояние ON (ВКЛ) (ACC) или ON (ВКЛ) (IG).

      17. Ситуация: Передатчик электронного ключа в сборе был зарегистрирован.

        • Если передатчик электронного ключа в сборе был зарегистрирован в автомобиле, на мультиинформационном дисплее отображается предупреждающее сообщение.

          В данной ситуации выполняются следующие действия:

          Причина предупреждения

          Функция удобства использования

          Условие начала предупреждения

          (выполняются все условия)

          • Питание выключено.

          • Дверь водителя разблокируется и открывается.

          Описание предупреждения

          • На мультиинформационном дисплее в щитке приборов отображается сообщение "A New Key has been Registered Contact Your Dealer for Details" (новый ключ был зарегистрирован, обратитесь к дилеру за получением подробных сведений).

          Условие прекращения выдачи предупреждения

          (выполняется одно из условий)

          • С момента выдачи предупреждения прошло 60 с.

          • Истекло 10 дней с момента первой выдачи предупредительного сообщения.

          • Все двери закрыты и заблокированы.

          • Питание включено (IG).

      18. Ситуация: Рычаг переключения передач находится в любом положении, кроме P и N, при остановленной системе управления гибридной системой.

        • Этой ситуации соответствуют 2 случая.

          • Случай 1:

            Если рычаг переключения передач находится в положении, отличном от Р при включенном питании (ACC) или (IG), а затем система управления гибридной системой останавливается, на мультиинформационном дисплее отображается предупреждающее сообщение.

            В данной ситуации выполняются следующие действия:

            Причина предупреждения

            Предотвращение отката автомобиля

            Условие начала предупреждения

            (выполняются все условия)

            • Питание включено (IG).

            • Скорость автомобиля не регистрируется.

            • Рычаг переключения передач находится в любом положении помимо P и N.

            Описание предупреждения

            • Зуммер в щитке приборов издает однократный звуковой сигнал.

            • На мультиинформационном дисплее в щитке приборов отображается сообщение "Hybrid System Stopped Shift to P" (Гибридная система остановлена, переведите рычаг переключения передач в положение Р).

            Условие прекращения выдачи предупреждения

            (выполняется одно из условий)

            • Рычаг переключения передач переводится в положение P или N.

            • Питание выключено.

            • Скорость автомобиля не ниже 5 км/час (3 миль в час).

          • Случай 2:

            Если рычаг переключения передач перемещается в положение N, когда система управления гибридной системой остановлена при включенном питании (IG), на мультиинформационном дисплее появляется предупреждающее сообщение.

            В данной ситуации выполняются следующие действия:

            Причина предупреждения

            Функция удобства использования

            Условие начала предупреждения

            (выполняются все условия)

            • Питание включено (IG).

            • Скорость автомобиля регистрируется.

            • Система управления гибридной системой готова к запуску.

            • Рычаг переключения передач перемещен в положение N.

            Описание предупреждения

            • На мультиинформационном дисплее в щитке приборов отображается сообщение "To Start Vehicle, Put Shift Lever into P" (Для запуска двигателя установите рычаг переключения передач в положение P).

            Условие прекращения выдачи предупреждения

            (выполняется одно из условий)

            • Выключатель питания переводится в состояние OFF (ВЫКЛ), ON (ВКЛ) (ACC) или ON (ВКЛ) (READY).

            • Скорость автомобиля не ниже 5 км/час (3 миль в час).

            • Система управления гибридной системой не готова к запуску.

            • Рычаг переключения передач перемещен в любое положение, кроме N.

      19. Ситуация: Автомобиль движется при включенном питании (IG) и остановленной системе управления гибридной системой.

        • Когда автомобиль начинает движение при включенном питании (IG), а затем система управления гибридной системой останавливается, на мультиинформационном дисплее появляется предупреждающее сообщение.

          В данной ситуации выполняются следующие действия:

          Причина предупреждения

          Предотвращение отката автомобиля

          Условие начала предупреждения

          (выполняются все условия)

          • Питание включено (IG).

          • Рычаг переключения передач находится в любом положении помимо P и N.

          • Система управления гибридной системой прекратила работу.

          • Скорость автомобиля не ниже 2 км/час (1 миль в час).

          Описание предупреждения

          • Непрерывно звучит зуммер в щитке приборов.

          • На мультиинформационном дисплее в щитке приборов отображается сообщение "Hybrid System Stopped Stop in a Safe Place" (Гибридная система остановлена, остановитесь в безопасном месте).

          Условие прекращения выдачи предупреждения

          (выполняется одно из условий)

          • Рычаг переключения передач перемещен в положение N.

          • Питание выключено.

          • Система управления гибридной системой запускается.

          • Скорость автомобиля не регистрируется.