ИНТЕЛЛЕКТУАЛЬНАЯ СИСТЕМА УЛЬТРАЗВУКОВОЙ ЛОКАЦИИ

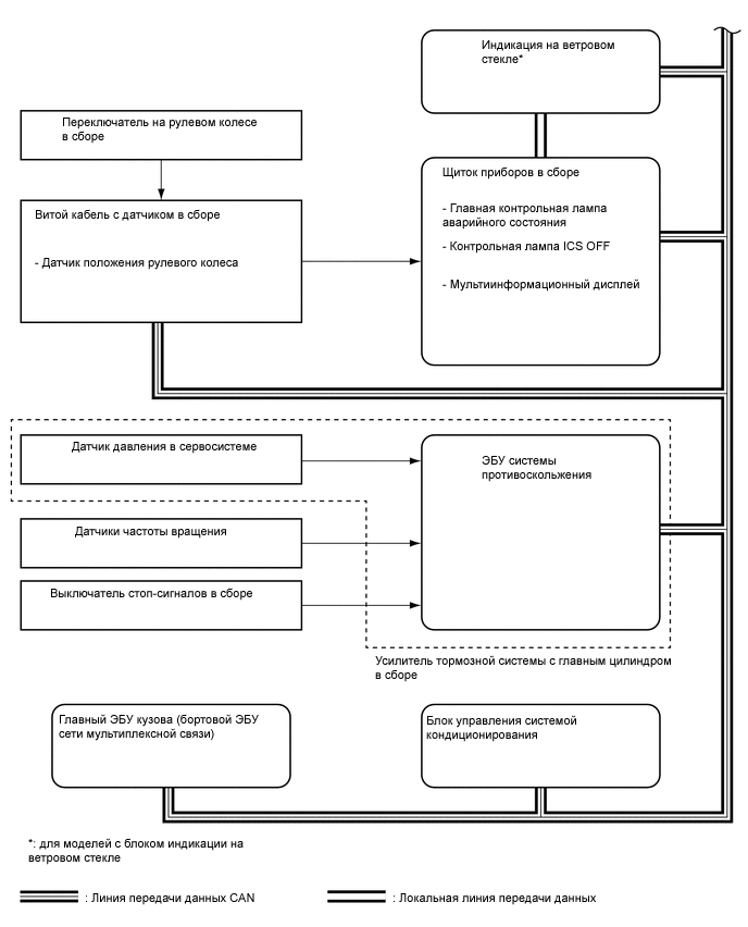
B0048ELE02
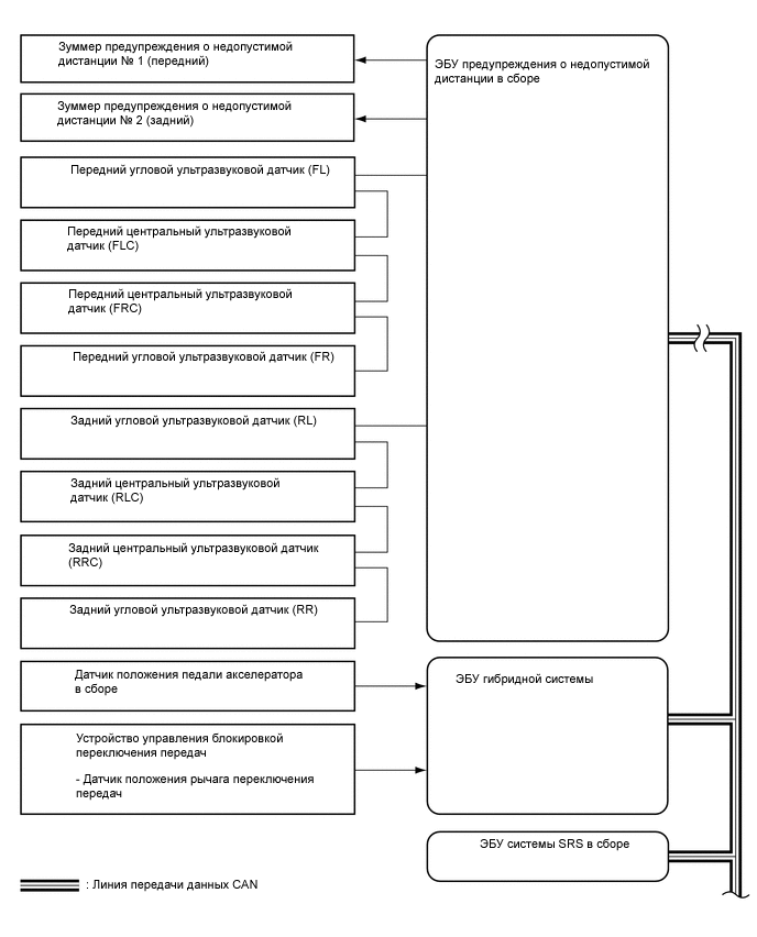
B0048EKE02