СИСТЕМА УПРАВЛЕНИЯ ЗАМКАМИ ДВЕРЕЙ

Figure 1. Для моделей без системы двойной блокировки

A01F6AAE03

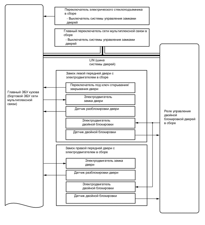
Figure 2. Для моделей с системой двойной блокировки

A01F6OYE01
A01F6F0E01