СИСТЕМА SFI


  1. ФУНКЦИИ


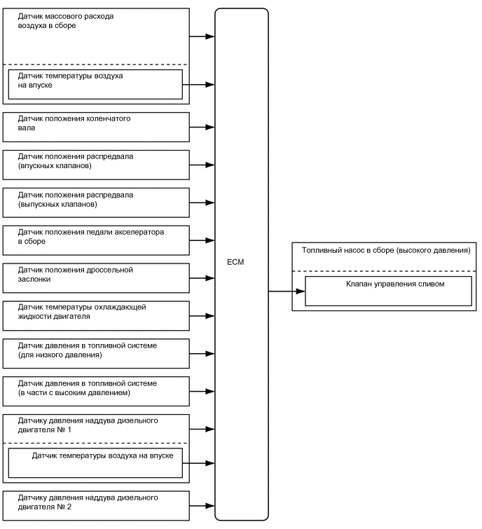
    1. ECM осуществляет плавное регулирование, чтобы обеспечить подачу топлива под высоким давлением согласно условиям движения. За счет сокращения объема топлива, сбрасываемого через клапан управления сливом, снижается необходимый крутящий момент на валу привода насоса и, соответственно, шум работы.

    2. ECM осуществляет управление с обратной связью с целью обеспечить требуемое значение на основании сигналов давления топлива от датчика давления в топливной системе, установленного на топливной рампе (для непосредственного впрыска).

      A01OGNEE02
      Регулирование давления для каждого режима движения
      Условие Управляющее давление
      Холостой ход 4,0 МПа
      Исключая холостой ход 2,0 - 20 МПа