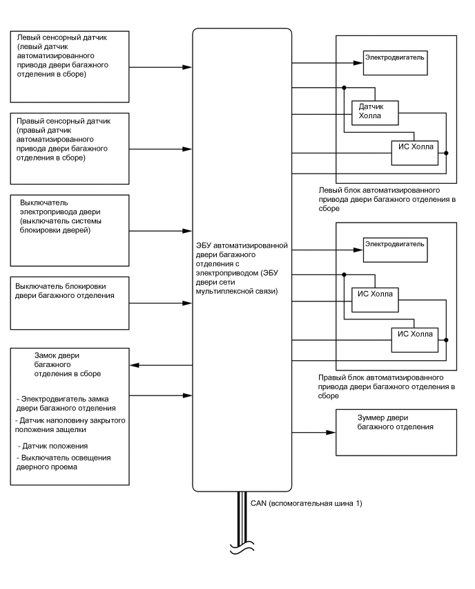
ДВЕРЬ БАГАЖНОГО ОТДЕЛЕНИЯ С АВТОМАТИЗИРОВАННЫМ ПРИВОДОМ

A0025OTE01
A018GNRE01