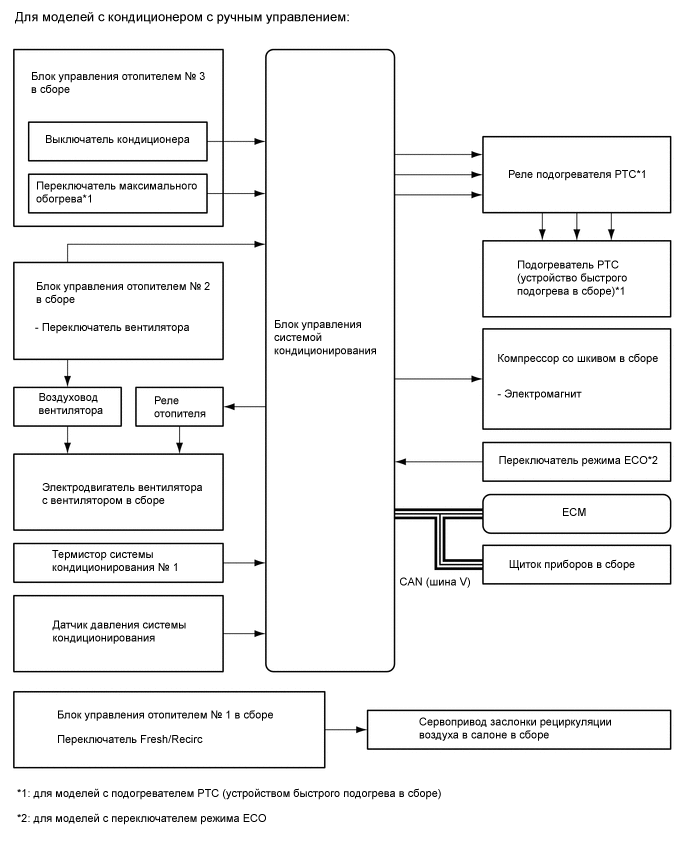
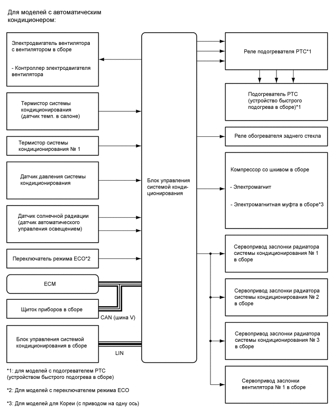
СИСТЕМА КОНДИЦИОНИРОВАНИЯ

A00YYL9E01
A00YY6EE01
A00YY3AE01