СИСТЕМА РУЛЕВОГО УПРАВЛЕНИЯ С УСИЛИТЕЛЕМ

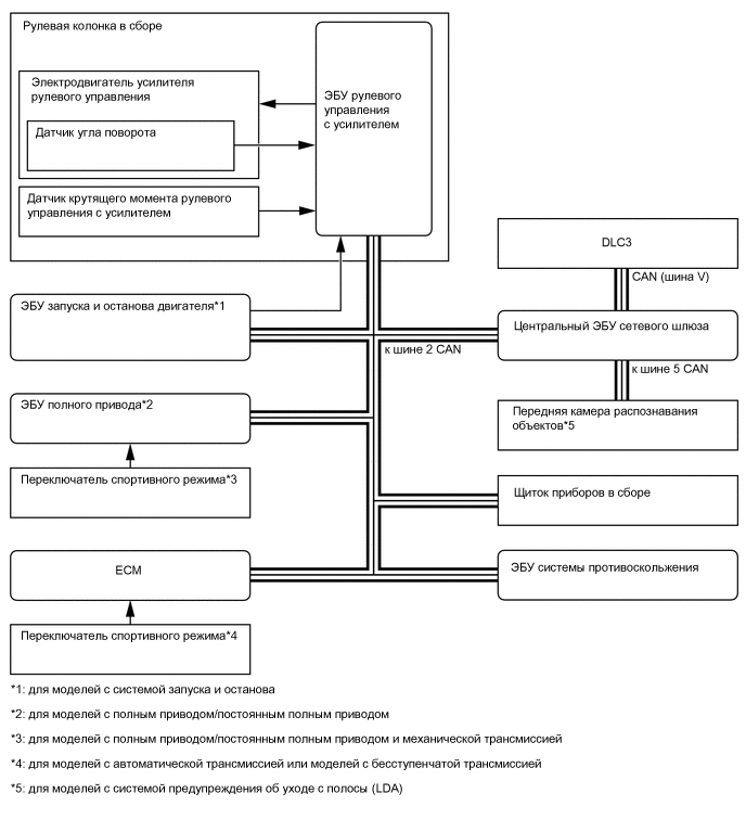
Figure 1. Для моделей в комплектации высокого уровня или для моделей в комплектации среднего уровня

A01V29HE01

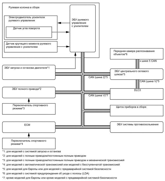
Figure 2. Для моделей в базовой комплектации

A01V2AUE01