HYBRID CONTROL SYSTEM


  1. CONSTRUCTION


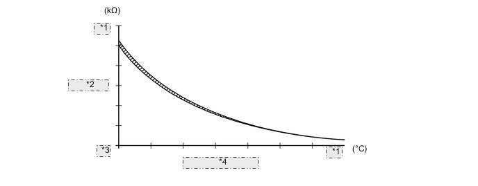
    1. The auxiliary battery temperature sensor (thermistor assembly) detects the auxiliary battery temperature, and transmits temperature signals to the power management control ECU.

    2. Based on the signal from the sensor, in order to maintain the optimal charging state appropriate to the auxiliary battery temperature, the power management control ECU regulates the output voltage from the DC-DC converter.

      A0111MQE06
      *1 High
      *2 Resistance
      *3 Low
      *4 Battery Temperature