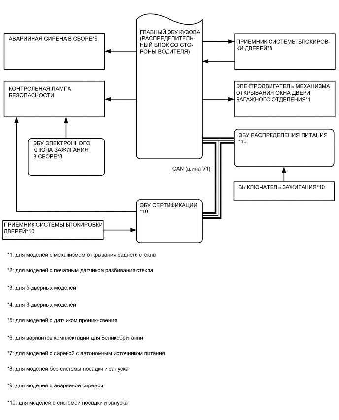
ПРОТИВОУГОННАЯ СИСТЕМА

A01UL8OE03
A01UL0QE05