СИСТЕМА КОНТРОЛЯ СЛЕПЫХ ЗОН


  1. НАЗНАЧЕНИЕ ОСНОВНЫХ УСТРОЙСТВ

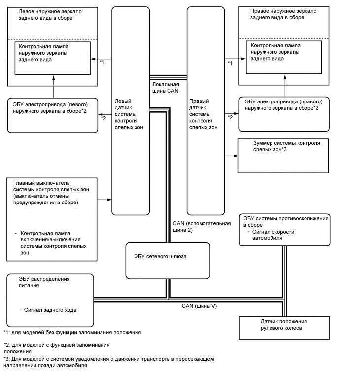
    Устройство Функция
    Левый и правый датчики системы контроля слепых зон
    • Излучает миллиметровые волны от датчика системы контроля слепых зон в область обнаружения датчика системы контроля слепых зон, по отраженным волнам миллиметрового диапазона определяет наличие автомобиля, дистанцию между автомобилями и относительную скорость, а затем передает эти данные во встроенную схему обработки сигналов.

    • Схема обработки сигналов принимает решение о наличии автомобиля и соответствующим образом обеспечивает включение или мигание контрольной лампы наружного зеркала заднего вида.

    • Уменьшает яркость контрольной лампы наружного зеркала заднего вида на наружном зеркале заднего вида.

    • Передает сигнал контрольной лампы в наружное зеркало заднего вида.*1

    Главный выключатель системы контроля слепых зон (выключатель отмены предупреждения в сборе) Нажатие главного выключателя системы контроля слепых зон (выключателя отмены предупреждения в сборе) вызывает включение или выключение системы контроля слепых зон.
    Главный выключатель системы контроля слепых зон (выключатель отмены предупреждения в сборе) Контрольная лампа включения/выключения системы контроля слепых зон При включении системы контроля слепых зон загорается индикатор.
    Левое и правое наружные зеркала заднего вида в сборе Контрольная лампа наружного зеркала заднего вида
    • Включается, чтобы уведомить водителя о наличии автомобиля в области обнаружения системы контроля слепых зон.

    • Мигает, чтобы уведомить водителя о том, что приведен в действие переключатель указателей поворота, когда в области обнаружения системы контроля слепых зон обнаружен автомобиль.

    • Мигает, чтобы уведомить водителя об обнаружении автомобиля в области обнаружения системы контроля слепых зон, во время движения управляемого автомобиля задним ходом.

    Щиток приборов в сборе Главная контрольная лампа аварийного состояния При обнаружении неисправности датчиков системы контроля слепых зон, или когда датчики системы контроля слепых зон определяют, что управление невозможно, для предупреждения водителя загорается главная контрольная лампа аварийного состояния, и на мультиинформационном дисплее отображается сообщение.
    Мультиинформационный дисплей
    Щиток приборов в сборе Передает сигнал указателей поворота в левый и правый датчики системы контроля слепых зон.
    Датчик положения рулевого колеса Передает сигнал угла поворота рулевого колеса в левый и правый датчики системы контроля слепых зон.
    ЭБУ сетевого шлюза Передает данные между шиной V CAN и вспомогательной шиной 2 CAN.
    ЭБУ распределения питания Передает сигнал заднего хода в левый и правый датчики системы контроля слепых зон.
    ЭБУ системы противоскольжения в сборе Передает сигнал скорости автомобиля в левый и правый датчики системы контроля слепых зон.
    Главный ЭБУ кузова (бортовой ЭБУ сети мультиплексной связи) Передает сигнал данных о рынке сбыта, сигнал освещения и сигнал переключателя света фар в левый и правый датчики системы контроля слепых зон.
    ЭБУ электропривода наружного зеркала в сборе (левого или правого)*2 Передает сигнал контрольной лампы в наружное зеркало заднего вида.
    Зуммер системы контроля слепых зон*3 Подает звуковой сигнал при обнаружении автомобиля, движущегося сзади в пересекающем направлении в то время, как управляемый автомобиль движется задним ходом.

    *1: для моделей без функции запоминания положения

    *2: для моделей с функцией запоминания положения

    *3: для моделей с системой уведомления о движении транспорта в пересекающем направлении позади автомобиля

  2. УПРАВЛЕНИЕ В СИСТЕМЕ


    1. Функция контроля слепых зон работает при выполнении обоих указанных ниже условий.


      1. Главный выключатель системы контроля слепых зон (выключатель отмены предупреждения в сборе) включен.

      2. Скорость автомобиля превышает 16 км/час (10 миль в час).

    2. Функция контроля слепых зон способна обнаруживать автомобили в своих областях обнаружения.


      1. Области обнаружения формируются левым и правым датчиками системы контроля слепых зон, как показано ниже:

        A01MREIC02
        *a Приблизительно 3,5 м (11,5 фута) *b 3,0 м (9,8 фута)
        *c 1,0 м (3,3 фута) - -
        A01MR78 Зона обнаружения - -
      2. Другой автомобиль на соседней полосе догоняет данный автомобиль.

        A01MRC5C02
        *1 Данный автомобиль - -
        A01MR7E Скорость автомобиля (высокая) A01MREY Скорость автомобиля (низкая)
        A01MR78 Зона обнаружения - -
      3. Когда управляемый автомобиль догоняет другой автомобиль на соседней полосе.

        A01MRCDC02
        *1 Данный автомобиль - -
        A01MR7E Скорость автомобиля (низкая) A01MREY Скорость автомобиля (высокая)
        A01MR78 Зона обнаружения - -
      4. Другой автомобиль попадает в область обнаружения данного автомобиля вследствие перестроения.

        A01MRGSC02
        *a Другой автомобиль попадает в область обнаружения во время перестроения (присоединение) (тип 1). *b Другой автомобиль попадает в область обнаружения во время перестроения (присоединение) (тип 2).
        *c Данный автомобиль - -
        A01MR7E Направление перемещения данного автомобиля A01MREY Направление перемещения другого автомобиля
        A01MRET Зона обнаружения - -
    3. Функция уведомления о движении транспорта в пересекающем направлении позади автомобиля работает, когда выполняются все перечисленные ниже условия.*

      *: Для моделей с системой уведомления о движении транспорта в пересекающем направлении позади автомобиля


      1. Главный выключатель системы контроля слепых зон (выключатель отмены предупреждения в сборе) включен.

      2. Рычаг переключения передач находится в положении R.

      3. Скорость управляемого автомобиля ниже примерно 8 км/час (5 миль в час).

      4. Скорость целевого автомобиля находится в диапазоне примерно 8-28 км/час (5-17 миль в час).

    4. Функция уведомления о движении транспорта в пересекающем направлении позади автомобиля способна обнаруживать автомобили в своих областях обнаружения.*

      *: Для моделей с системой уведомления о движении транспорта в пересекающем направлении позади автомобиля


      1. Эта система непрерывно измеряет относительную скорость приближающегося автомобиля и расстояние до него. Когда определяется, что приближающийся автомобиль пересекает траекторию движения данного автомобиля, вычисляется ориентировочное время пересечения (ECT). Если ECT составляет 2,5 с или меньше, система предупреждает водителя, заставляя мигать контрольные лампы наружных зеркал заднего вида и включая зуммер системы контроля слепых зон.

        A01MREDC01
        *a Данный автомобиль *b Целевой автомобиль (скорость примерно 8 км/час (5 миль в час))
        *c Целевой автомобиль (скорость примерно 28 км/час (17 миль в час)) *d Приблизительно 6 м (20 футов)
        *e Приблизительно 5,5 м (18,0 фута) *f Приблизительно 20 м (66 футов)
        *g Линия обнаружения цели - -
        A01MR78 Зона предупреждения - -
      2. Нормальная парковка

        A01MR8ZC01
        *a Данный автомобиль *b Отслеживаемый автомобиль
        A01MR78 Зона предупреждения - -
      3. Парковка под углом

        A01MRA8C01
        *a Данный автомобиль *b Отслеживаемый автомобиль
        *c 55-125 градусов - -
        A01MR78 Зона предупреждения - -
    5. В соответствии с условиями работы система контроля слепых зон предлагает водителю убедиться в безопасности, информируя его с помощью контрольной лампы наружного зеркала заднего вида о том, что другой автомобиль попал в область обнаружения системы контроля слепых зон данного автомобиля.

    6. Контрольная лампа наружного зеркала заднего вида информирует водителя о наличии автомобиля в области обнаружения системы контроля слепых зон, загораясь, когда переключатель указателей поворота не нажат, и мигая, когда имеется автомобиль, и переключатель указателей поворота нажат.

      A01MRCOE02
    7. В соответствии с условиями работы функция уведомления о движении транспорта в пересекающем направлении позади автомобиля побуждает водителя убедиться в безопасности, информируя его с помощью контрольных ламп наружных зеркал заднего вида и зуммера системы контроля слепых зон о том, что другой автомобиль попал в зону предупреждения датчиков системы контроля слепых зон данного автомобиля.*

      *: Для моделей с системой уведомления о движении транспорта в пересекающем направлении позади автомобиля

    8. Если во время движения данного автомобиля задним ходом другой автомобиль попадает в область обнаружения датчиков системы контроля слепых зон и определяется, что этот автомобиль пересекает траекторию движения данного автомобиля, система предупреждает водителя о ситуации, заставляя мигать контрольные лампы наружных зеркал заднего вида и включая зуммер системы контроля слепых зон.*

      *: Для моделей с системой уведомления о движении транспорта в пересекающем направлении позади автомобиля

      A01MR91E02
  3. ДИАГНОСТИКА


    1. Система контроля слепых зон имеет функцию диагностики, которая выводит предупреждения на мультиинформационный дисплей. Более подробную информацию см. в Руководстве по ремонту.