АУДИОВИЗУАЛЬНАЯ СИСТЕМА

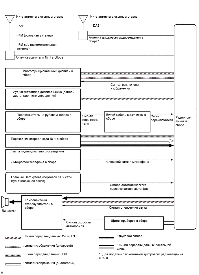
Figure 1. Для моделей с аудиосистемой с дисплеем Lexus (с 6 динамиками)

A01CJKGE01

Figure 2. Для моделей с аудиосистемой с дисплеем Lexus (с 8 динамиками)

A01CJJ5E01

Figure 3. Для моделей с системой навигации

A01CJICE01
A01CJJLE01