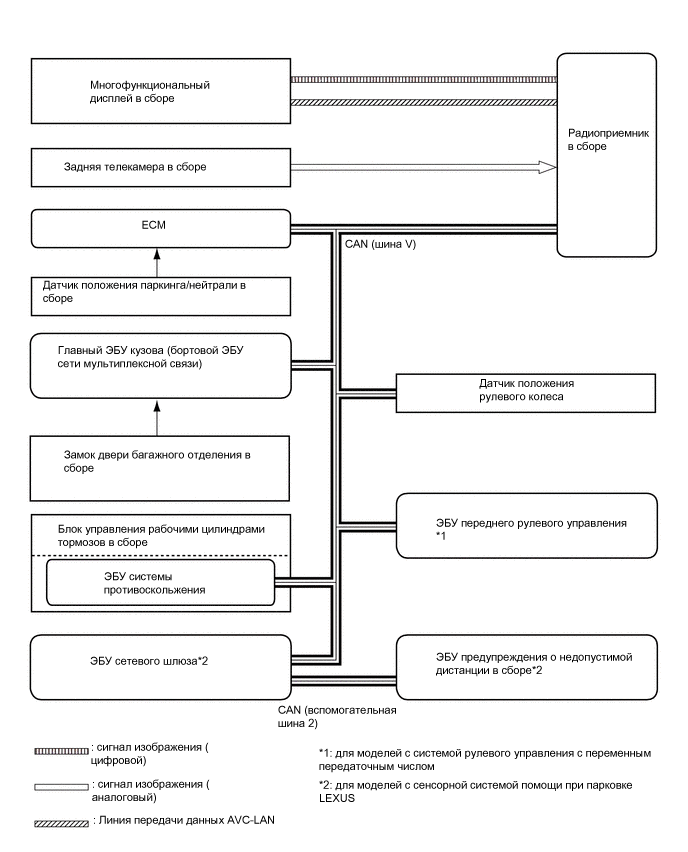
СИСТЕМА ПОМОЩИ ПРИ ПАРКОВКЕ

A01205WE01