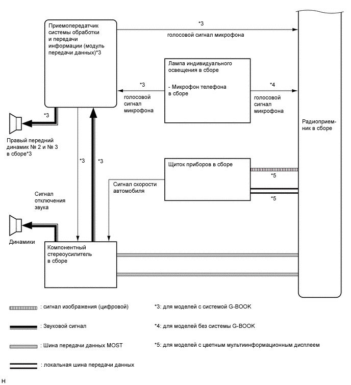
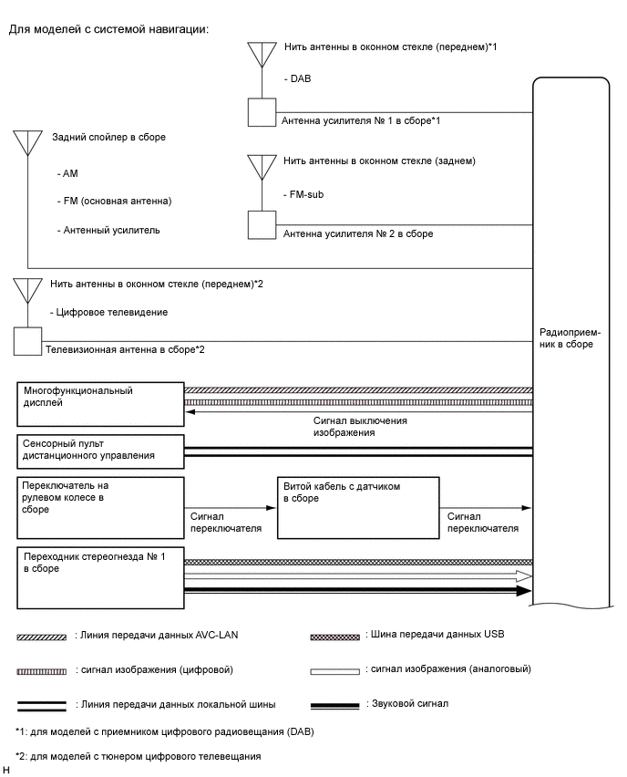
АУДИОВИЗУАЛЬНАЯ СИСТЕМА

A004UYGE03
A004UPIE03
A004USHE03
A004V0BE03
A004URSE03