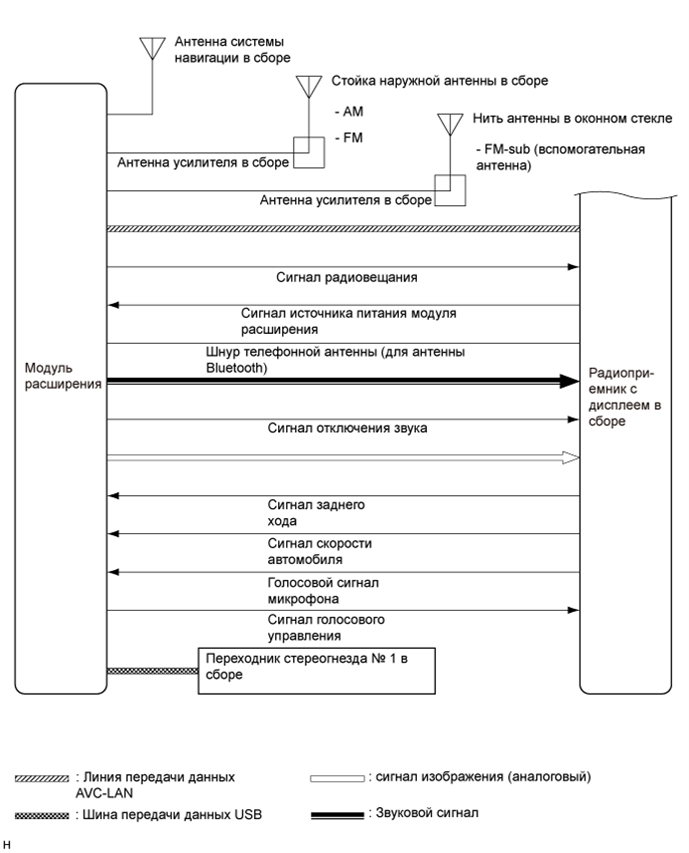
СИСТЕМА НАВИГАЦИИ / МУЛЬТИИНФОРМАЦИОННАЯ СИСТЕМА СХЕМА СИСТЕМЫ

A01F0L7E01
A01F0REE01
A01F0QIE01