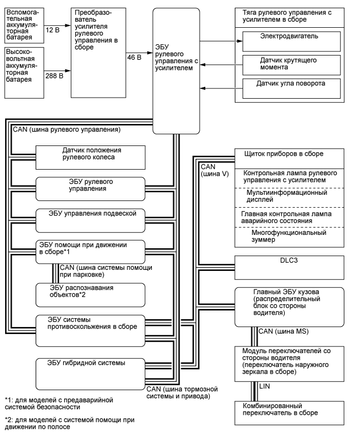
СИСТЕМА РУЛЕВОГО УПРАВЛЕНИЯ С УСИЛИТЕЛЕМ СХЕМА СИСТЕМЫ

A01GUWVE02