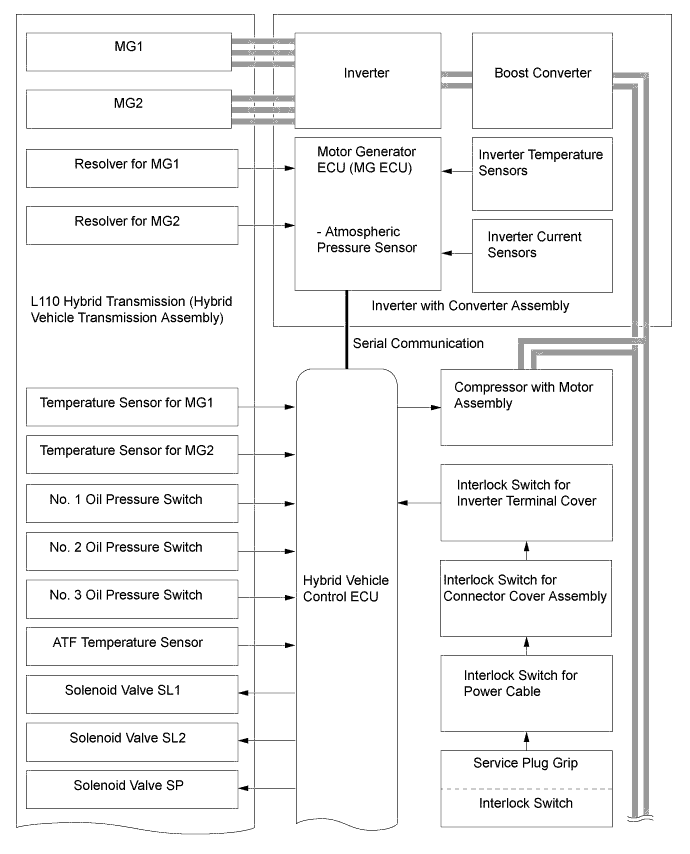
HYBRID CONTROL SYSTEM SYSTEM DIAGRAM

A01GV2VE01
A01GUTNE01
A01GUFVE01