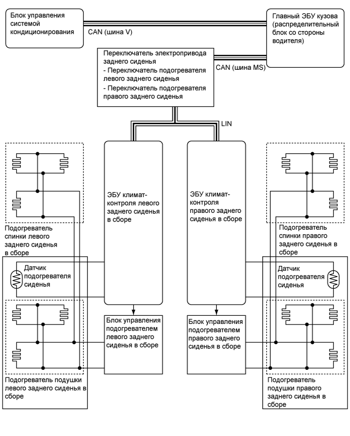
СИСТЕМА ПОДОГРЕВА СИДЕНИЙ СХЕМА СИСТЕМЫ

A01GDS6E01