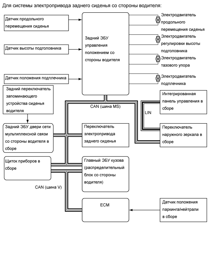
СИСТЕМА СИДЕНИЙ С ЭЛЕКТРОПРИВОДОМ СХЕМА СИСТЕМЫ

A01GDXYE01
A01GE1PE01
A01GEB6E01
A01GDMWE01