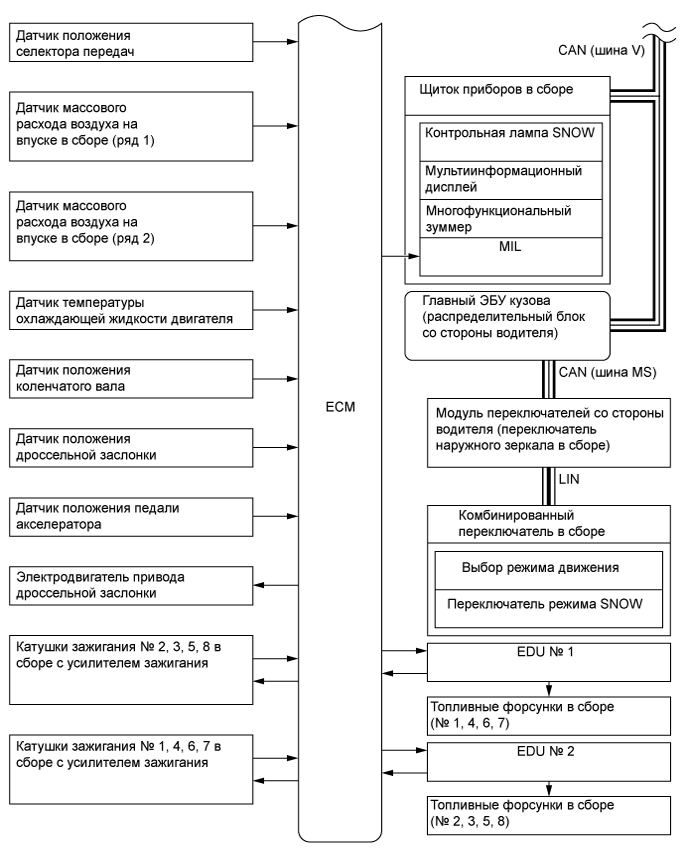
СИСТЕМА АВТОМАТИЧЕСКОЙ ТРАНСМИССИИ СХЕМА СИСТЕМЫ

A01GDURE01
A01GE2GE01