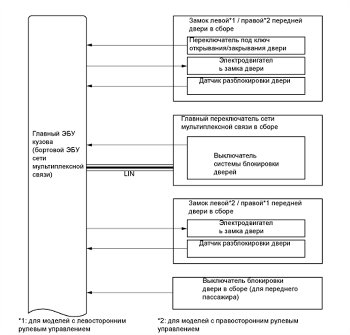
СИСТЕМА УПРАВЛЕНИЯ ЗАМКАМИ ДВЕРЕЙ СХЕМА СИСТЕМЫ

A01GVYXE03
A01GVPSE01