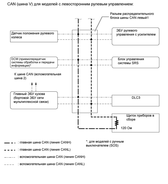
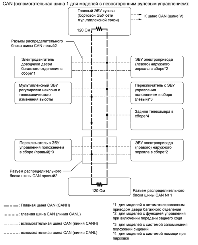
СИСТЕМА ПЕРЕДАЧИ ДАННЫХ CAN СХЕМА СИСТЕМЫ

A01GVJDE01
A01GVC4E01
A01GVAEE01
A01GVFVE03
A01GVD9E01
A01GVX1E03
A01GVSTE01
A01GVB5E04