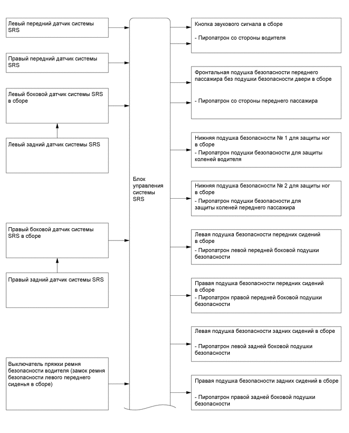
СИСТЕМА ПОДУШЕК БЕЗОПАСНОСТИ

A0003ABE05
A0002S4E02