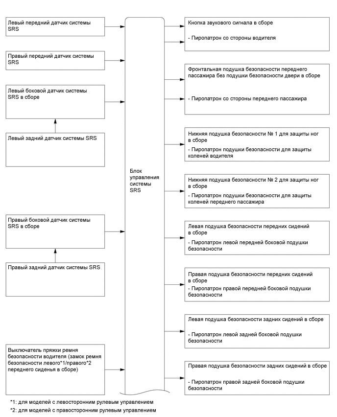
СИСТЕМА ПОДУШЕК БЕЗОПАСНОСТИ

A0003ABE06
A0002S4E03