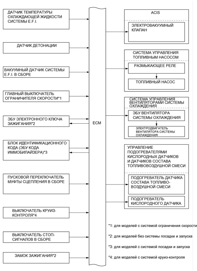
СИСТЕМА SFI СХЕМА СИСТЕМЫ

A01IM2RE01
A01ILURE01
A01ILFGE01