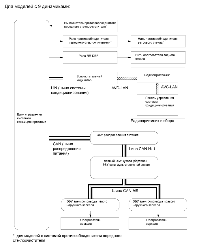
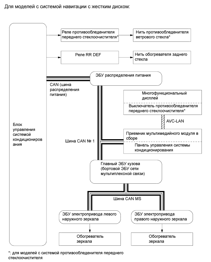
ВЕТРОВОЕ СТЕКЛО / ОКНА СХЕМА СИСТЕМЫ

A019Q2HE01
A019Q6KE01
A019PVNE01