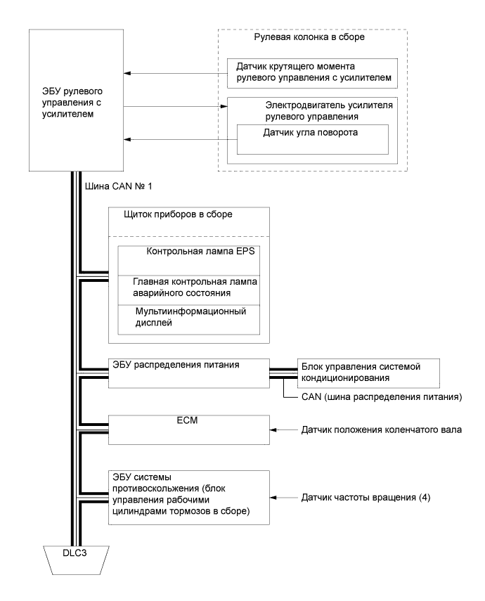
СИСТЕМА РУЛЕВОГО УПРАВЛЕНИЯ С УСИЛИТЕЛЕМ СХЕМА СИСТЕМЫ

A019PYVE01