СИСТЕМА ИЗМЕРИТЕЛЬНЫХ ПРИБОРОВ И ИНДИКАТОРОВ ДЕТАЛЬНОЕ ОПИСАНИЕ


  1. ФУНКЦИИ


    1. Функции зуммера


      1. В представленной ниже таблице перечислены функции предупреждения и оповещения зуммера в щитке приборов в сборе.

        Наименование

        • Система оповещения об оставлении ключа в замке зажигания

        • Система оповещения о невыключенном освещении

        • Предупреждение о превышении скоростного режима

        • Система предупреждения о непристегнутом ремне безопасности

    2. Система предупреждения о непристегнутом ремне безопасности передних сидений


      1. Когда зажигание включено, эта система определяет состояние ремней безопасности по сигналам, поступающим от выключателей пряжек ремней безопасности водителя и переднего пассажира, а также от датчика присутствия пассажира.

      2. При непристегнутом ремне безопасности многофункциональный зуммер подает 5 звуковых сигналов через 1,8 с после включения зажигания.

      3. Если выключатели пряжек ремней безопасности водителя и переднего пассажира при этом отключены, мигает контрольная лампа предупреждения о непристегнутом ремне безопасности.

      4. Датчик присутствия пассажира


        • Датчик присутствия пассажира, встроенный в подушку сиденья переднего пассажира, определяет, занято или нет сиденье переднего пассажира.

        • Этот датчик имеет конструкцию, состоящую из 2 пластинчатых электродов с прокладкой. Когда пассажир садится на сиденье, пластинчатые электроды замыкаются через отверстие в прокладке, в результате чего по цепи начинает протекать ток.

        • Датчик позволяет определить присутствие пассажира на сиденье переднего пассажира.

  2. КОНСТРУКЦИЯ


    1. Вспомогательный индикатор


      1. Предусмотрен вспомогательный индикатор, на котором может отображаться информация системы круиз-контроля.

      2. Во внутренний вспомогательный индикатор встроен датчик, определяющий магнитное поле Земли. Север обозначается на компасе как 0°, а направление движения автомобиля вперед указывается с использованием 8 углов курса (азимутов).

        A01J2OUE03
        Обозначения на рисунке
        *1 Переключатель INFO. *2 Контрольная лампа ремня безопасности сиденья переднего пассажира
        *3 Переключатель RESET - -
      3. Вспомогательный индикатор выполняет следующие функции:

        Функция Описание
        Отображение часов и наружной температуры
        • Отображается время.

        • Отображение температуры наружного воздуха.

        Отображение данных круиз-контроля

        На экране данных круиз-контроля могут отображаться значения 6 параметров.


        • Средний расход топлива

        • Текущий расход топлива

        • Средняя скорость автомобиля

        • Прошедшее время

        • Расстояние, которое может проехать автомобиль

        • Компас

        Контрольная лампа ремня безопасности переднего пассажира Загорается контрольная лампа предупреждения о непристегнутом ремне безопасности переднего пассажира.
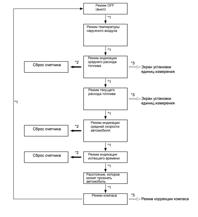
      4. Экраны вспомогательного индикатора переключаются следующим образом:

        A01J2LLE01
        Условие
        *1 Нажатие переключателя INFO. в течение менее чем 2,3 с
        *2 Нажатие переключателя RESET в течение менее чем 0,8 с
        *3 Нажатие переключателя RESET в течение 0,8 с или более
        A01J2P9E01
        Условие
        *1 Нажатие переключателя INFO. в течение 2,3 с или более
        *2 Нажатие переключателя INFO. в течение менее чем 2,3 с или бездействие в течение 6 с
        *3 Нажатие переключателя RESET в течение менее чем 0,8 с
        A01J2Q6E01
        Условие
        *1 Если предварительно заданное значение намагничивания не достигнута в течение определенного периода времени.
        *2 Когда выполняется коррекция значения параметра намагничивания (автоматическая коррекция или калибровка движением автомобиля по кругу).
        *3 Нажатие переключателя INFO. в течение 2,3 с или более
        *4 Нажатие переключателя INFO. в течение менее чем 2,3 с или бездействие в течение 6 с
        *5 Нажатие переключателя RESET в течение менее чем 0,8 с
        *6 В случае нажатия переключателя RESET в течение не менее 0,8 с до завершения калибровки движением автомобиля по кругу.
        *7 После успешного завершения калибровки движением автомобиля по кругу.
        *8 После ошибки калибровки движением автомобиля по кругу.
        *9 Нажатие переключателя INFO. в течение менее чем 2,3 с

        Tech Tips

        Более подробную информацию о режиме коррекции компаса см. в руководстве по ремонту для данной модели.