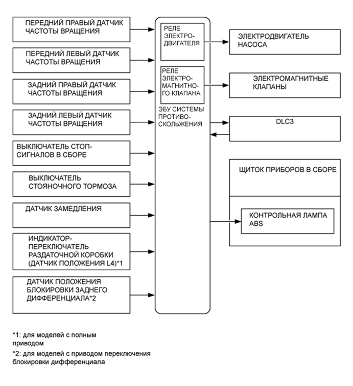
СИСТЕМА УПРАВЛЕНИЯ ТОРМОЗАМИ СХЕМА СИСТЕМЫ

A01J2N5E01