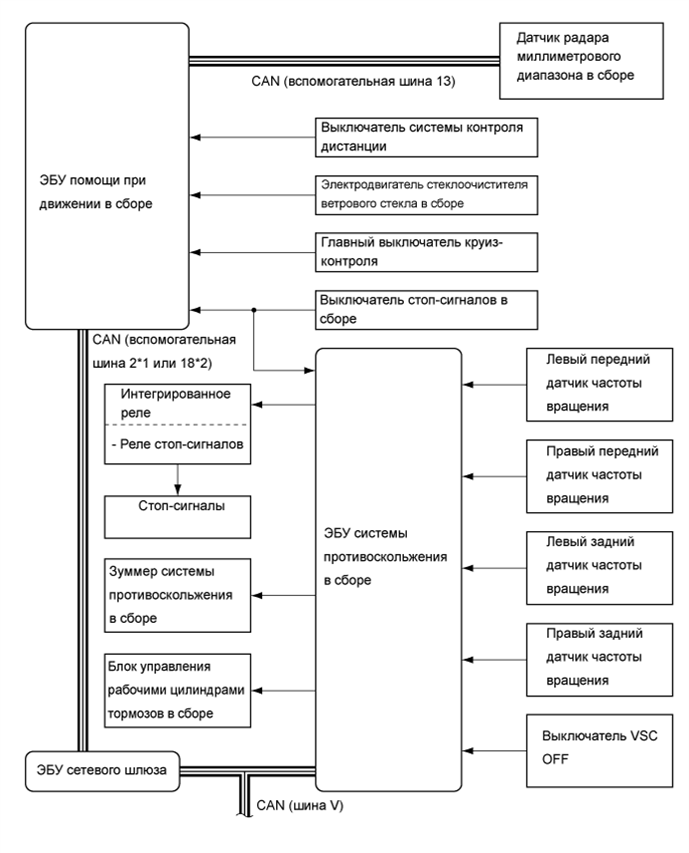
ДИНАМИЧЕСКАЯ РАДАРНАЯ СИСТЕМА КРУИЗ-КОНТРОЛЯ СХЕМА СИСТЕМЫ

A01FP2BE02
A01FP0YE03