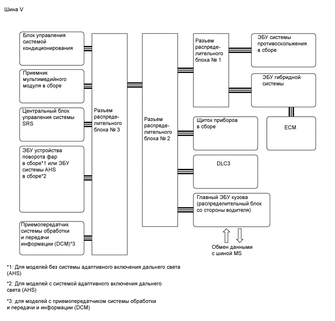
СИСТЕМА ПЕРЕДАЧИ ДАННЫХ CAN

A000M7AE02
A000MIUE04
A000MQWE03
A000MFBE02
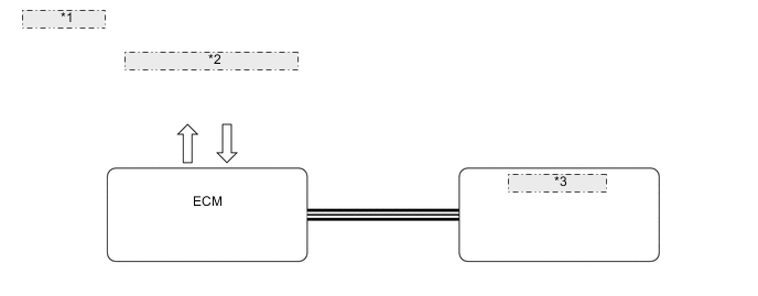
*1 Шина гибридного двигателя
*2 Обмен данными с шиной V и шиной тормозной системы и привода
*3 ЭБУ гибридной системы
A000M1VE04
A000M3ZE04
A000M1JE04
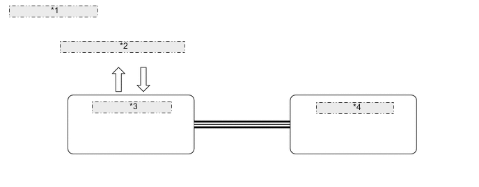
*1 Шина системы контроля слепых зон
*2 К шине/от шины торможения и движения
*3 Левый датчик системы контроля слепых зон
*4 Правый датчик системы контроля слепых зон
A000MAEE06
A000M6QE04