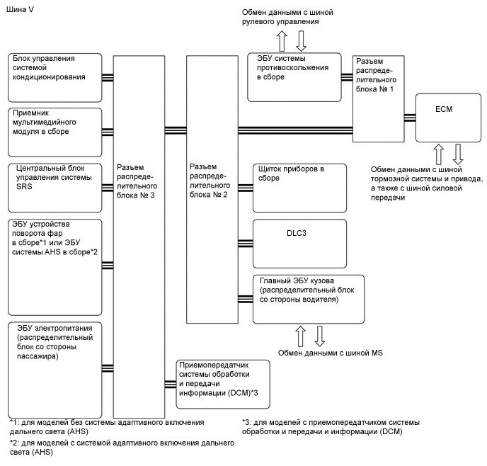
СИСТЕМА ПЕРЕДАЧИ ДАННЫХ CAN

A0010EYE02
A0010T6E04
A0010LVE03
A0010NNE03
*1 Шина силовой передачи
*2 Обмен данными с шиной V и шиной тормозной системы и привода
A0010ABE04
A0010CJE04
A0010CBE04
*1 Шина системы контроля слепых зон
*2 К шине/от шины торможения и движения
*3 Левый датчик системы контроля слепых зон
*4 Правый датчик системы контроля слепых зон
A0010WZE05
A0010HXE04