OUTLINE
The 1ND-TV TOYOTA Direct injection 4-stroke common-rail Diesel (D-4D) engine is an in-line, 4-cylinder, 1.4-liter, 8-valve SOHC turbocharged diesel engine with intercooler.
This engine uses direct injection system and common-rail system to realize higher performance, good fuel consumption, clean emission, low noise and low vibration.
This engine comes in 2 models. One is a model with the oxidation catalyst that uses only an oxidation catalyst. The other is a model with the Diesel Particulate Filter (DPF) catalyst that uses an oxidation catalyst and a DPF catalyst.
| *A | Models without DPF Catalyst | *B | Models with DPF Catalyst |
SPECIFICATION
| Item | Specification | |||
|---|---|---|---|---|
| Engine Type | 1ND-TV with DPF | 1ND-TV without DPF | ||
| No. of Cyls. & Arrangement | 4-cylinder, In-line | 4-cylinder, In-line | ||
| Valve Mechanism | 8-valve SOHC, Chain Drive | 8-valve SOHC, Chain Drive | ||
| Combustion Chamber | Direct Injection Type | Direct Injection Type | ||
| Manifolds | Cross-flow | Cross-flow | ||
| Fuel System | Common-rail Type | Common-rail Type | ||
| Displacement | 1364 cm3(83.2 cu. in.) |
1364 cm3(83.2 cu. in.) |
||
| Bore x Stroke | 73.0 mm x 81.5 mm (2.87 in x 3.21 in) | 73.0 mm x 81.5 mm (2.87 in x 3.21 in) | ||
| Compression Ratio | 16.5 : 1 | 16.5 : 1 | ||
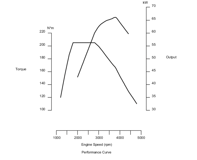
| Max. Output (EEC) | 66 kW @ 3800 rpm | 66 kW @ 3800 rpm | ||
| Max. Torque (EEC) | 205 N*m @ 1800 to 2800 rpm | 205 N*m @ 1800 to 2800 rpm | ||
| Valve Timing | Intake | Open | 4° BTDC | 4° BTDC |
| Close | 36° ABDC | 36° ABDC | ||
| Exhaust | Open | 44.8° BBDC | 44.8° BBDC | |
| Close | 4° ATDC | 4° ATDC | ||
| Oil Grade | ACEA C2 | ACEA B1 API: CF4 or CF2 ACEA C2 |
||
| Injection Order | 1 - 3 - 4 - 2 | 1 - 3 - 4 - 2 | ||
| Fuel Cetane Number | 48 or higher | 48 or higher | ||
| Emission Regulation | EURO 5 | EURO 4 | ||
| Engine Service Mass* (Reference) | 124.0 kg (273.4 lb) | 124.0 kg (273.4 lb) | ||
Tech Tips
*: Weight shows the figure with oil and water fully filled.
MAIN FEATURES
The 1ND-TV engine has been able to achieve the following performance through the adoption of the items listed below.
High performance and fuel economy
Low noise and vibration
Lightweight and compact design
Good serviceability
Clean emission
| Item | Feature | (1) | (2) | (3) | (4) | (5) |
|---|---|---|---|---|---|---|
| Engine Proper | A cylinder head sub-assembly, cylinder block sub-assembly, and piston made of aluminum alloy are used. | - | ○ | ○ | - | - |
| The thin cast-iron liner is used in the cylinder block sub-assembly. | ○ | - | ○ | - | - | |
| Cylinder block water jacket spacer is used. | ○ | - | - | - | - | |
| The piston skirt is coated with resin. | ○ | ○ | - | - | - | |
| Valve Mechanism | A timing chain and chain tensioner is used. | - | - | ○ | ○ | - |
| Lubrication System | An aluminum alloy made water-cooled type oil cooler is used. | - | - | ○ | - | - |
| 2-stage hydraulic system is used.* | ○ | ○ | - | - | - | |
| Cooling System | TOYOTA genuine Super Long Life Coolant (SLLC) is used. | - | - | - | ○ | - |
| Intake and Exhaust System | A water-cooled type intercooler is used. | ○ | - | - | - | ○ |
| A DC motor type diesel throttle control motor is used in the diesel throttle body assembly. | ○ | - | ○ | - | ○ | |
| The variable nozzle vane type turbocharger driven by a DC motor is used. | ○ | - | - | - | ○ | |
| A DC motor type EGR valve is used. | ○ | - | - | - | ○ | |
| A water-cooled type EGR cooler bypass switching valve is used. | ○ | - | - | - | ○ | |
| The exhaust manifold converter uses Oxidation Catalytic Converter (Exhaust Manifold Converter Sub-assembly). | - | - | - | - | ○ | |
| The DPF Catalytic Converter (No. 2 Exhaust Manifold Converter Sub-assembly) is used.* | - | - | - | - | ○ | |
| Fuel System | A common-rail type fuel injection system is used. | ○ | ○ | - | - | ○ |
| Compensation value and Data Matrix Code (DMC) printed piezo type injector is used. | ○ | ○ | - | - | ○ | |
| Engine Control System | An intake mass air flow meter sub-assembly is used. | - | - | - | - | ○ |
| The non-contact sensor is used in the accelerator pedal sensor assembly and throttle position sensor. | ○ | - | - | - | - | |
| A catalyst support control is used.* | - | - | - | - | ○ | |
| A pilot injection control system is used. | ○ | ○ | - | - | ○ | |
| A oil maintenance management system is used. | - | - | - | ○ | - |
*:Models with Diesel Particulate Filter (DPF)