OUTLINE
The 1NR-FE engine is a 1.3-liter, 16-valve DOHC, in-line 4-cylinder gasoline engine.
This engine uses the Dual Variable Valve Timing-intelligent (VVT-i) system, Direct Ignition System and Electronic Throttle Control System-intelligent (ETCS-i). These systems achieve improved engine performance, fuel economy and clean emissions.
| *A | Models with Stop and Start system | - | - |
SPECIFICATION
| Item | Specification | ||
|---|---|---|---|
| Engine Type | 1NR-FE | ||
| No. of Cyls. and Arrangement | 4-cylinder, In-line | ||
| Valve Mechanism | 16-valve DOHC, Chain Drive (with Dual VVT-i) | ||
| Combustion Chamber | Pentroof Type | ||
| Flow of Intake and Exhaust Gasses | Cross-Flow | ||
| Fuel System | SFI | ||
| Ignition System | DIS | ||
| Displacement | 1329 cm3(81.1 cu. in.) |
||
| Bore x Stroke | 72.5 mm X 80.5 mm (2.9 in. X 3.2 in.) | ||
| Compression Ratio | 11.5 : 1 | ||
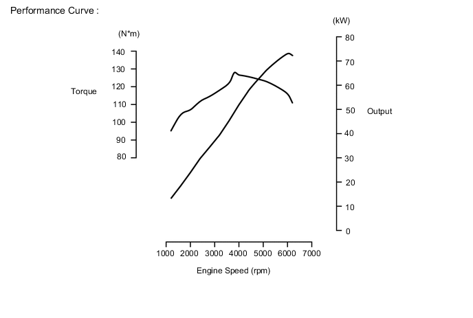
| Max. Output [EEC] | 73 kW @ 6000 rpm | ||
| Max. Torque [EEC] | 125 N*m @ 4000 rpm | ||
| Valve Timing | Intake | Open | 30°BTDC to 10°ATDC |
| Closed | 29° ABDC to 69°ABDC | ||
| Exhaust | Open | 48°BBDC to 3°BBDC | |
| Closed | 7°ATDC to 52°ATDC | ||
| Firing Order | 1 - 3 - 4 - 2 | ||
| Fuel | Unleaded Gasoline | ||
| Research Octane Number (RON) | 95 or higher | ||
| Oil Grade | API grade SL "Energy-conserving", SM "Energy-conserving" or ILSAC Multigrade Engine Oil | ||
| Emission Regulation | EURO 5 | ||
| Engine Service Mass* (Reference) | 89.5 kg (197 lb) | ||
*: Weight shows the figure with oil and water fully filled.
MAIN FEATURES
The 1NR-FE engine has achieved the following performance through the adoption of the items listed below.
High performance and reliability
Low noise and vibration
Lightweight and compact design
Good serviceability
Clean emission and fuel economy
| Item | (1) | (2) | (3) | (4) | (5) | |
|---|---|---|---|---|---|---|
| Engine Proper | An aluminum cylinder block is used. | - | - | ○ | - | - |
| An offset crankshaft is used. | ○ | ○ | - | - | ○ | |
| Spiny type liners are used. | ○ | - | - | - | - | |
| A taper squish shape is used for the top of the pistons. | ○ | - | - | - | ○ | |
| Valve Mechanism | A timing chain and chain tensioner are used. | - | ○ | - | ○ | - |
| Hydraulic lash adjusters are used. | - | ○ | - | ○ | - | |
| Roller rocker arms are used. | - | ○ | - | - | ○ | |
| The Dual Variable Valve Timing-intelligent (VVT-i) system is used. | ○ | - | - | - | ○ | |
| Intake and Exhaust System | A plastic intake manifold is used. | - | - | ○ | - | - |
| A linkless type throttle body is used. | - | - | ○ | ○ | - | |
| A stainless steel exhaust manifold is used. | - | - | ○ | - | - | |
| Three-Way Catalytic converters (TWCs) are used. | - | - | - | - | ○ | |
| Fuel System | 8-hole type fuel injectors are used. | ○ | - | - | - | ○ |
| A fuel returnless system is used. | - | - | ○ | ○ | - | |
| Quick connectors are used to connect the fuel hoses and fuel pipes. | - | - | - | ○ | - | |
| Ignition System | A Direct Ignition System is used. | ○ | - | - | - | - |
| Long-reach, thin-electrode type iridium tipped spark plugs are used. | ○ | - | - | ○ | ○ | |
| Engine Control System | The Electronic Throttle Control System-intelligent (ETCS-i) is used. | ○ | - | - | - | ○ |
| Magnetic Resistance Element (MRE) type crank position and cam position sensors are used. | ○ | - | - | - | - | |
| The flat type knock control sensor is used. | ○ | - | - | - | - | |