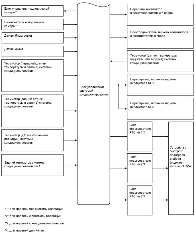
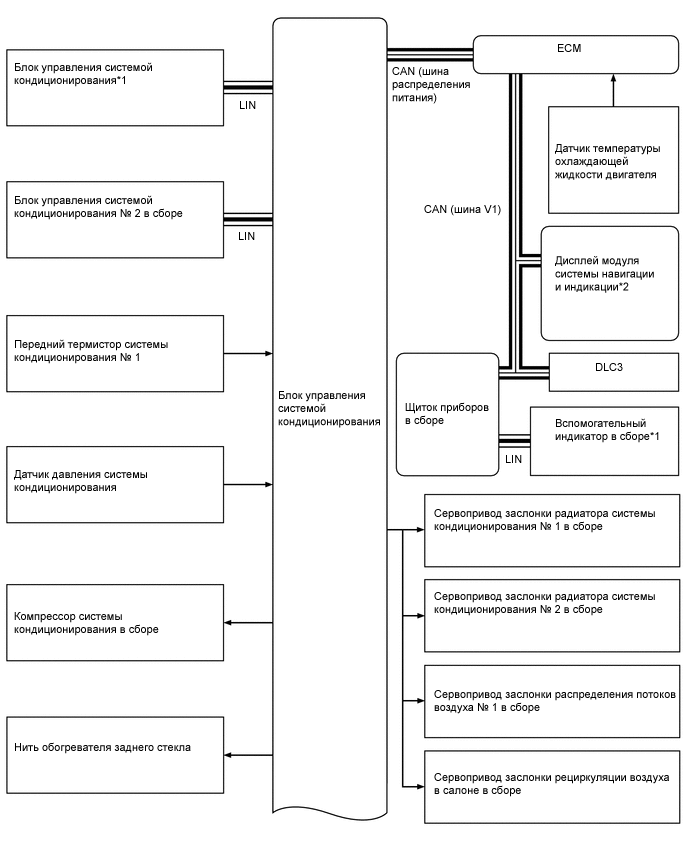
СИСТЕМА КОНДИЦИОНИРОВАНИЯ

A019R5FE03
A019R2EE01