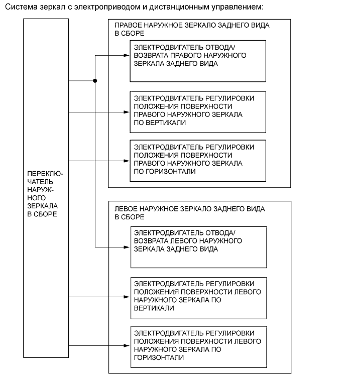
СИСТЕМА ЗЕРКАЛ СХЕМА СИСТЕМЫ

A0116HSE02
A0116G0E02