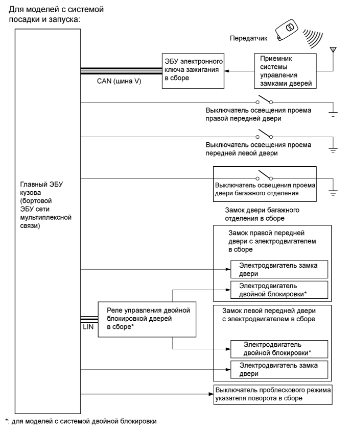
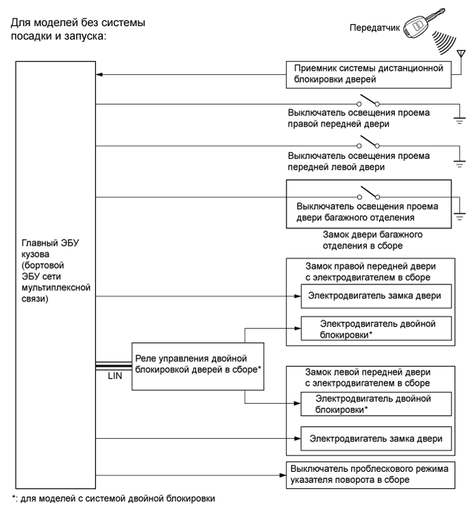
СИСТЕМА ДИСТАНЦИОННОЙ БЛОКИРОВКИ ДВЕРЕЙ СХЕМА СИСТЕМЫ

A0116J0E02
A0116V9E01