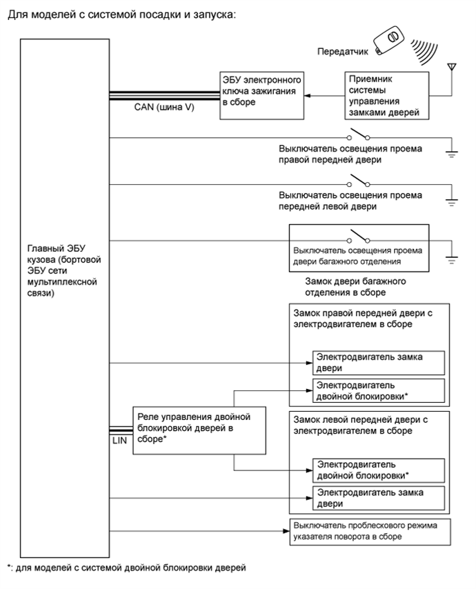
СИСТЕМА ДИСТАНЦИОННОЙ БЛОКИРОВКИ ДВЕРЕЙ СХЕМА СИСТЕМЫ

A0116J0E01
A0116QIE01