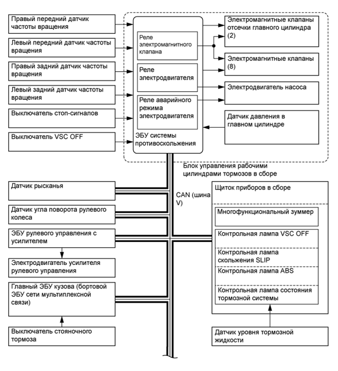
СИСТЕМА УПРАВЛЕНИЯ ТОРМОЗАМИ СХЕМА СИСТЕМЫ

A0116GOE01
A0116LAE01