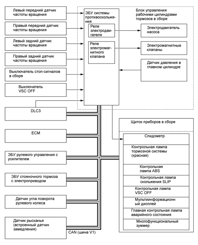
СИСТЕМА УПРАВЛЕНИЯ ТОРМОЗАМИ СХЕМА СИСТЕМЫ

A010FP6E03