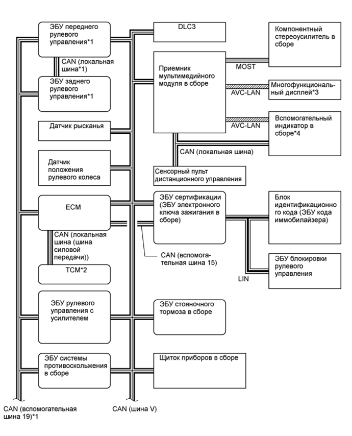
МУЛЬТИПЛЕКСНАЯ СИСТЕМА ПЕРЕДАЧИ ДАННЫХ СХЕМА СИСТЕМЫ

A01FC80E02
A01FC9OE03
A01FC1HE07
A01FBKJE10