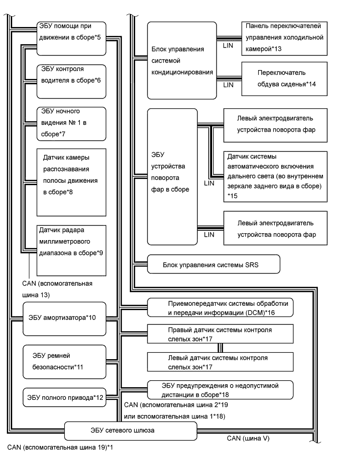
МУЛЬТИПЛЕКСНАЯ СИСТЕМА ПЕРЕДАЧИ ДАННЫХ СХЕМА СИСТЕМЫ

A01FC80E02
A01FC2XE01
A01FC1HE09
A01FBKJE11